ポイント
- 都市部において社会経済的地位が低い地域の住民ほど、暑さによる健康被害を受けやすいことを明らかにしました。
- 全国規模の入院データを解析し、居住地域や社会経済的指標によって暑さに伴う緊急入院のリスクどのように異なるか実証しました。
- 暑さの影響が特に大きい地域では、救急医療体制の強化を含む対策の必要性が示されました。今後、地域の特性に応じた暑さ対策の推進が求められます。
概要
東京科学大学(Science Tokyo)※ 医歯学総合研究科 公衆衛生学分野の西村久明助教、藤原武男教授、医療政策情報学分野の伏見清秀教授、および東北大学環境科学研究科の中谷友樹教授らの研究グループは、都市部において社会経済的指標が低い地域の住民ほど、暑さによる健康被害がより顕著であることを明らかにしました。
暑さはさまざまな健康リスクを引き起こすことが知られています。一方で、暑さによる健康被害の受けやすさは、個人の特性や居住地域によって異なるとされています。特に、ヒートアイランド現象の影響により都市部の住民は暑さにさらされやすく、社会経済的指標が低い地域では、熱ストレスの耐性が低い可能性があることが懸念されていましたが、こうした健康被害の格差の実態は十分に解明されていませんでした。
本研究の結果、特に都市部において社会経済的指標が低い地域の住民は、緊急入院を伴う健康被害を受ける傾向が顕著であることが示されました。この結果を踏まえ、地域の実態に即した暑さ対策を講じる必要があると考えられます。

本研究成果は、2025年1月16日付で「Journal of Epidemiology and Community Health」誌に掲載されました。
- 2024年10月1日に東京医科歯科大学と東京工業大学が統合し、東京科学大学(Science Tokyo)となりました。
背景
健康被害の受けやすさは、個人の特性や居住地域によって異なるとされています。
特に、ヒートアイランド現象の影響により都市部の住民は暑さにさらされやすいと考えられています。また、社会経済的指標が低い地域の住民は、熱ストレスへの耐性が低い可能性があることも懸念されています。しかし、こうした健康被害の実態については、十分に明らかにされていませんでした。
研究成果
本研究では、日本全国における2011年から2019年までの9年間のデータを用い、6月から9月(年間で気温の高い4ヵ月)に発生した緊急入院症例を対象として、1日の平均気温と緊急入院との関連を分析しました。さらに、暑さによる緊急入院への影響が、居住地域や社会経済的指標によってどのように異なるのかを解析しました。
入院データはDPC(Diagnosis Procedure Combination)データベースから抽出し、日平均気温のデータは気象庁のデータを使用しました。社会経済的指標としては、国勢調査の世帯・職業・居住に関する項目をもとに算出された地理的剥奪指標 (Area Deprivation Index: ADI)を採用しました。また、居住地域(都市部・郊外・それ以外)は、国勢調査の大都市圏・都市圏の分類に基づいて設定しました。
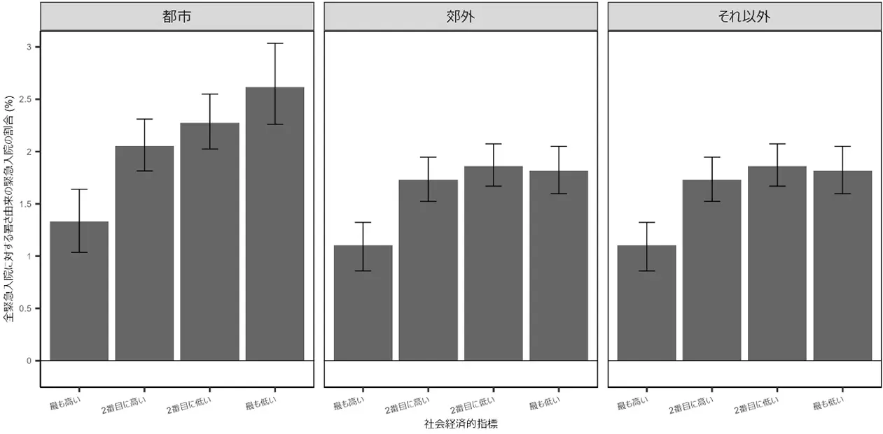
解析の結果、全緊急入院のうち暑さが要因となる入院の割合は、最も社会経済的指標が高い地域では1.19%(95%信頼区間:0.98%-1.41%)であるのに対し、最も社会経済的指標が低い地域では1.87%(95%信頼区間:1.68%-2.06%)と算出されました。このことから、社会経済的指標が低い地域ほど、暑さによる緊急入院への影響が大きいことが明らかになりました。
また居住地域(都市・郊外・それ以外)別に比較すると、都市でも郊外でもない地域では1.42%(95%信頼区間:1.24% - 1.60%)であるのに対し、都市部では2.03%(95%信頼区間:1.78% - 2.30%)と推定されました。これにより、特に都市部の住民において暑さによる緊急入院の影響が大きいことが示されました。
さらに、社会経済的指標と居住地域の両方を同時に考慮すると、都市部における最も社会経済的指標が低い地域の集団において、暑さによる緊急入院は2.62%(95%信頼区間:2.26% - 3.03%)と、最も高いことが判明しました。

社会的インパクト
本研究により、暑さによる緊急入院への影響は、都市部において社会経済的指標が低い地域の住民ほど顕著であることが明らかになりました。
この結果を踏まえ、熱中症警戒アラートに基づいた暑さ対策の重要性を、特にこうした地域の住民に対して重点的に啓発する必要があると考えられます。また、地域の実態に即した暑さ対策を講じることの重要性が示唆されました。
今後の展開
救急医療を担う医療機関では、暑さが引き起こす緊急入院への対応力を強化することが求められます。とりわけ、都市部の社会経済的指標が低い地域の医療機関では、その重要性が一層高いと考えられます。
今後、気候変動の影響により暑い日が増えると予想される中で、暑さに伴う緊急入院の増加に対応できる医療体制の構築が必要であることが示唆されました。
付記
本研究は、日本学術振興会科研費(JSPS、JP23K19768、20H00040)および国立研究開発法人科学技術振興機構(JST、JPMJSA2402)と独立行政法人国際協力機構(JICA)の連携事業である地球規模課題対応国際科学技術協力プログラム(SATREPS)の支援を受けて実施しました。
論文情報
- 掲載誌:
- Journal of Epidemiology and Community Health
- タイトル:
- Heat-related impacts on all-cause emergency hospitalisation differ by area deprivation and urbanicity: a time-stratified case-crossover study in Japan
- 著者:
- Hisaaki Nishimura, Nobutoshi Nawa, Tomoki Nakaya, Kiyohide Fushimi, Takeo Fujiwara
研究者プロフィール
西村 久明 Hisaaki NISHIMURA
東京科学大学 大学院医歯学総合研究科 公衆衛生学分野 助教
研究分野:公衆衛生学、環境疫学
藤原 武男 Takeo FUJIWARA
東京科学大学 大学院医歯学総合研究科 公衆衛生学分野 教授
研究分野:公衆衛生学、疫学(社会疫学、ライフコース疫学)