水素吸蔵材料における負熱膨張現象の発見

2026年3月9日 公開

ポイント

  • 水素を導入したCoZr2H3.49において、c 軸負熱膨張を発見した。
  • CoZr2H3.49c軸負熱膨張はキュリー温度以下で実現し、強磁性転移によって駆動される。
  • CoZr2H3.49c軸負熱膨張は水素を含まないCoZr2が示すc軸負熱膨張とは異なる機構である。

概要

私たちの身の回りでは、物質は一般に温度が上がると膨張し、温度が下がると収縮するという性質を持ちます。この性質は正の熱膨張と呼ばれ、金属やプラスチックなどの材料で広くみられる現象です。一方で、正の熱膨張とは逆に温度が上がると収縮する材料も存在し、このような材料は負熱膨張材料と呼ばれます。負熱膨張材料は正熱膨張材料と組み合わせることで、材料の線熱膨張係数[用語1]体積熱膨張係数[用語2]の制御を可能とするため、熱膨張制御が強く求められる電子デバイスをはじめとした現代産業分野での活用が期待されます。

東京科学大学総合研究院フロンティア材料研究所の片瀬貴義教授は、東京都立大学大学院理学研究科物理学専攻の水口佳一准教授、渡邊雄翔大学院生(日本学術振興会特別研究員DC1)らの研究グループ、北海道大学大学院工学院の三浦章教授らと共同で、遷移金属ジルコナイドの水素化物であるCoZr2H3.49キュリー温度(139K)[用語3]以下の温度域で、ある特定の方向にのみ(c 軸方向)負熱膨張を示すことを明らかにしました。水素を含まないCoZr2は約6Kの超伝導転移温度を示す超伝導体[用語4]であることに加え、広範な温度範囲でc 軸方向に負熱膨張を示します。CoZr2は水素を吸蔵して強磁性体へと変化することは知られていましたが、CoZr2と同様の負熱膨張現象を示すかについては報告がありませんでした。本研究では水素を吸蔵したCoZr2H3.49に着目し、強磁性領域におけるc 軸負熱膨張現象の観測に至りました。水素を含まないCoZr2が示すc 軸負熱膨張は単位格子中[用語5]の原子の振動によって駆動される一方、CoZr2H3.49c 軸負熱膨張はキュリー温度以下という限られた温度域で実現することから、CoZr2H3.49c 軸負熱膨張は物質の電子状態の変化、すなわち強磁性転移によって駆動されることが分かります。

今後、実際の水素量を変化させることでc 軸方向の線熱膨張係数の最大化、さらにはa 軸方向の線熱膨張係数の制御が可能となれば、単一物質によるゼロ熱膨張材料の開発が期待されます。

本研究成果は、2月11日(日本時間)付けで米国化学会誌が発行する英文誌 Journal of the American Chemical Society に発表されました。

背景

電子デバイスの高度化や微細化が加速している現代産業において、材料の熱膨張係数の制御は部材の変形や異種材料間の界面での歪などを防止するために重要な技術です。負熱膨張材料は温度が上がると収縮する性質を持つため、材料の熱膨張係数の制御に応用することが可能であり、半導体パッケージや精密光学機器などへの活用が期待されています。

2022年に水口佳一准教授らが遷移金属ジルコナイド超伝導体CoZr2c 軸負熱膨張を発見したことを契機に、Coを別の遷移金属で置換した系においてもc 軸負熱膨張が見出され、遷移金属ジルコナイドを舞台とした負熱膨張研究が発展していきました。

また、遷移金属ジルコナイドは水素をよく吸蔵することが知られており、水素吸蔵材料の側面としても注目されてきました。水素吸蔵は物質の性質を変化させることもあり、特にCoZr2超伝導体は水素を吸蔵することで電子状態が大きく変化し、低温で遍歴性[用語6]の強磁性状態へと転移することが報告されていました。一方で、結晶構造は水素の吸蔵でほとんど変化せず、正方晶系の空間群[用語7]I4/mcm (#140)から同じ正方晶系のP4/ncc (#130)へと変化します(図1)。水素を吸蔵したCoZr2Hx (0 ≤ x ≤ 5)の結晶構造がc 軸負熱膨張を示すCoZr2とほとんど同一であることから、P4/ncc の構造を有するCoZr2Hx においてもc 軸負熱膨張が発現することが予測されます。

そこで本研究では、水素を導入したCoZr2H3.49に対して放射光X線回折測定をキュリー温度以下の温度域まで行い、熱膨張特性の評価を行いました。放射光粉末X線回折測定[用語8]大型放射光施設SPring-8[用語9]のBL13XUビームラインで実施しました。

図1. CoZr2の結晶構造 (I4/mcm )とCoZr2Hx (P4/ncc )の結晶構造

研究の詳細

本研究では、合成したCoZr2粉末を水素雰囲気中で加熱することで水素を導入し、得られた水素化粉末を高圧・高温下の条件で焼結することでCoZr2H3.49の試料を合成しました。なお、水素量は昇温脱離ガス分析法(TDS)[用語10]によって決定しました。図2(a)は0.1Tの磁場中で測定したCoZr2H3.49の磁化率の温度依存性χ(T)です。磁化率はキュリー温度TC=139 K以下で急激に増大し、強磁性状態に転移していることが分かります。磁化は図2(b)に示すとおり、わずかな磁場の印加で急激に増大し、高磁場側では完全に飽和せず徐々に増加していることが分かります。このような振る舞いは、弱い遍歴強磁性と呼ばれる強磁性状態にみられる典型的な現象です。このように、CoZr2H3.49は先行研究と同様に遍歴強磁性を示すことが確認できました。

図2. (a) CoZr2H3.49の磁化率の温度依存性。(b) 磁化の磁場依存性。

図3(a)に、300 Kから100 Kまでの温度域で測定した放射光粉末X線回折パターンを示します。また図3(b)は、格子定数c の長さを反映した002反射のみが観測される範囲を拡大した図です。観測した温度範囲内で結晶構造の変化はみられませんでしたが、002反射の回折角の大きさが冷却に伴い増加から減少に転じることが分かりました。これは、格子定数c が温度変化に対して単調に変化していないことを示唆します。

図3. (a) CoZr2H3.49の放射光粉末X線回折パターンの温度依存性。 (b) 格子定数cの長さを反映する002反射のみが観測される回折角領域の拡大図。

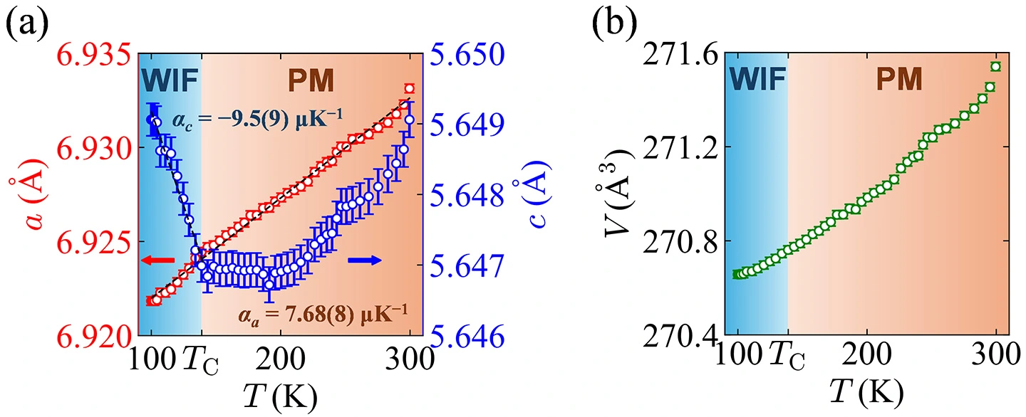
格子定数の温度依存性を得るために、各温度で測定した放射光粉末X線回折パターンに対してそれぞれリートベルト解析[用語11]を行いました。図4(a)にリートベルト解析によって得られた格子定数ac の温度依存性を示します。格子定数a は観測した温度域で正の熱膨張を示します。一方で格子定数c はキュリー温度以上の温度域(常磁性相:PM)で正の熱膨張を示しますが、キュリー温度以下の温度域(弱い遍歴強磁性相:WIF)では負の熱膨張を示すことが分かります。つまり、CoZr2H3.49の格子定数c の温度依存性はキュリー温度を境に変化し、弱い遍歴強磁性相でのみc 軸負熱膨張が実現するということです。水素を含まないCoZr2が示すc 軸負熱膨張は低温から高温まで幅広い温度域で観測されるのに対して、CoZr2H3.49c 軸負熱膨張はキュリー温度以下でのみ観測されることから、CoZr2H3.49c 軸負熱膨張の機構はCoZr2の場合と異なり、強磁性転移によって駆動される、いわゆる相転移型に分類されると考えられます。

図4. (a) リートベルト解析によって得られた格子定数 a, c の温度依存性と (b) 体積 V の温度依存性。

研究成果と今後の展開

本研究では水素を含むCoZr2H3.49において、キュリー温度以下の弱い強磁性相で発現するc軸負熱膨張の観測に成功しました。CoZr2H3.49c 軸負熱膨張はキュリー温度以下という限られた温度域でのみ見られる現象であることから相転移型の負熱膨張機構に分類され、水素を含まないCoZr2が示すc 軸負熱膨張の機構とは異なることが明らかになりました。今後、水素量の制御を行うことでa 軸やc 軸方向の熱膨張係数を制御し、c 軸負熱膨張係数の最大化や単一物質からなるゼロ熱膨張材料の開発に貢献することが期待されます。

付記

本研究の一部は、以下の支援を受けて行われました。

  • JST戦略的創造研究推進事業ERATO「内田磁性熱動体プロジェクト」(研究総括:内田健一、課題番号:JPMJER2201)
  • 東京都立大学若手研究者等選抜型研究支援(研究代表:水口佳一)
  • 科研費・特別研究員奨励費(研究代表:渡邊雄翔、課題番号:JP25KJ1992)
  • 科研費・海外連携研究(研究代表:水口佳一、課題番号:JP23KK0088)
  • 東京科学大学「Science Tokyoの星」特別賞【STAR】(研究代表:片瀬貴義)

用語説明

[用語1]
線熱膨張係数:物質の温度が1K(1°C)上昇したときに格子定数(結晶構造のa, b, c 軸に沿った長さ)がどのくらい伸縮するかを示す量。a 軸方向の線熱膨張係数αaは格子定数をa として、αa = (1/a)(da/dT)と表される。正の熱膨張であれば符号が正となり、負の熱膨張であれば符号は負となる。
[用語2]
体積熱膨張係数:物質の温度が1K(1°C)上昇したときに体積Vがどのくらい収縮するかを示す量で、β= (1/V)(dV/dT)と表される。
[用語3]
強磁性(キュリー温度):電子の向き(スピン)が同じ方向に揃い、物質が磁石のような性質を示す状態。物質が強磁性状態に転移する温度をキュリー温度と呼ぶ。
[用語4]
超伝導(超伝導転移温度):電子がペア(クーパー対)を組み、電気抵抗の消失や完全反磁性などの性質を示す状態。物質が超伝導状態に転移する温度を超伝導転移温度と呼ぶ。
[用語5]
単位格子:結晶構造を構成する最小の繰り返し単位で、各辺の長さは格子定数と呼ばれる。単位格子が3次元的に周期的に並ぶことで結晶全体が形成される。
[用語6]
遍歴性:物質中の電子が原子の周囲に束縛されずに、物質中を動き回る性質のこと。遍歴性の強磁性は物質中を遍歴する電子によって担われる。
[用語7]
空間群:結晶構造を構成する対象操作をまとめた分類で、単位格子内の原子配列の規則性を表す。全部で230種類の空間群が存在する。
[用語8]
放射光X線回折:放射光とは、電子を光とほぼ等しい速度まで加速し、電磁石によって進行方向を曲げた時に発生する、細く強力な電磁波のこと。放射光を粉末試料に照射することで、結晶構造を同定し、格子定数や原子座標などの量を決定できる。
[用語9]
大型放射光施設SPring-8:兵庫県の播磨科学公園都市にある世界最高性能の放射光を生み出す理化学研究所の施設。
[用語10]
昇温脱離ガス分析法(TDS):真空過熱により発生したガスを温度ごとに分析することで、試料からの発生ガスの成分や定量分析を行う手法。水素化物を真空加熱すると試料内の水素が水素ガスや水分子となって脱離するため、これらを定量分析することで試料に含まれていた水素量を決定できる。
[用語11]
リートベルト解析:X線回折パターンを解析する手法であり、格子定数や原子座標などのパラメータを精密化することで実験結果を説明する。

論文情報

掲載誌:
Journal of the American Chemical Society
タイトル:
Uniaxial negative thermal expansion in a weak-itinerant-ferromagnetic phase of CoZr2H3.49
著者:
Yuto Watanabe(責任著者), Kota Suzuki, Takayoshi Katase, Akira Miura, Aichi Yamashita and Yoshikazu Mizuguchi(責任著者)

関連リンク

お問い合わせ

東京都立大学大学院 理学研究科
准教授 水口 佳一

東京科学大学 総合研究院 フロンティア材料研究所
教授 片瀬 貴義

取材申し込み

東京科学大学 総務企画部 広報課