ポイント
- 解決が困難な課題に対する異分野融合的な解決策を提案するために、LLMを活用した生成手法SELLMを提案
- 先行研究の例を用いて、SELLMによって効果的な解決策が生成できることを示した
- 本手法を用いることで、学術界から産業界までさまざまな領域における困難な課題に対し、分野横断的な解決策を生成することが期待される
概要
東京科学大学 総合研究院 元素戦略MDX研究センターの神谷利夫教授、横浜市立大学 大学院生命医科学研究科 生命情報科学研究室の富田ひかり大学院生(博士前期課程1年)、石田祥一客員講師、寺山 慧准教授、、AGC株式会社 材料融合研究所の中村伸宏マネージャーからなる共同研究グループは、解決が困難な課題に対し、大規模言語モデル[用語1](以降、LLM)を用いて異分野融合による効果的な解決策を生み出す手法SELLM(Solution Enumeration via comprehensive List and LLM)を提案しました。材料科学分野において解決が困難な課題に対し、SELLMを適用して検証した結果、課題から離れた材料や分野のアイデアを活用した、効果的な解決策や有望な代替案が生成されました。SELLMは汎用的なフレームワークであり、産学を問わない幅広い課題や問題に対して、異分野融合的な有望な解決策やひらめきを提供し得るポテンシャルを持っています。本研究成果は、国際科学雑誌「Communications Materials」に掲載されました(日本時間2025年10月6日18時公開)。

背景
近年、LLMを用いて研究アイデアや科学的仮説を生み出す研究が数多く行われています。その一方で、「本質的に解決が困難な課題」に対して、効果的な解決策やアイデアを生成するための方法論の開発は発展途上です。ここでいう「本質的に解決が困難な課題」とは、一見無関係な分野の知識や技術を用いらなければ解決できない課題のことを指しており、産学を問わず大きなブレイクスルーを産む解決策は異分野融合的・学際的であることがしばしばあります。このような課題に対しては、LLMに単純な尋ね方をするだけでは効果的な解決策が得られにくいという傾向があります。実際に、特別な工夫をせずにLLMに問いかけると、入力した文章に応じて新たな文章が生成されるという性質上、投げかけた質問の中で登場した単語に影響を受けた解答が生成されやすくなっています。また、有効とされるアプローチの1つとして、RAG[用語2](Retrieval-Augmented Generation)や知識グラフ[用語3]を活用して課題と異なる分野の知識を活用する手法が提案されています。しかし、このような方法は、知識の検索・選定方法によっては、解決のための重要な知識が選ばれず、効果的な解決策が生成できない可能性があります。つまり、解決に不可欠な知識や分野の見落としという観点においては、まだ十分に対応されていないと言えます。
研究成果
本研究では、網羅的に知識横断的な解決策を生成する手法SELLMを提案しました(図1)。SELLMは、知識や技術を網羅するリストから、「専門家」の網羅的なリストを作成することで解決策を生成します。具体的には、リストの知識を1つずつ取り出して、その知識に関する専門家としてLLMに振る舞うよう、テキストベースで指示します。「専門家」LLMのそれぞれから解決策を提案させることで、他分野の目線から考えた、さまざまな解決策を生成させることが可能になります。網羅的なリストとして、国際特許分類(IPC)や周期表(元素のリスト)などが利用可能です。例えば、IPCは古今東西の既存技術を網羅しており、多様な観点から漏れなく課題に対する解決策を提案できます。また、このリストは研究室の薬品リストや企業の社内技術リストなど自由に設定可能です。
提案手法の有効性を検証するため、「本質的に解決が困難な課題」を解決した先行研究を例に取り、これに対してSELLMを用いて有効な解決策を出力することを目的とした実験を2つ行いました。1つは有機EL照明の開発において最重要課題となっていた光取り出し効率を大幅に改善した研究開発事例です[参考文献1] [参考文献2]。もう1つは、次世代半導体メモリとして期待されている薄膜トランジスタ(IGZO-TFT)の実用化において課題になっている接触抵抗を解決した事例です[参考文献3]。
本研究では、「専門家」を作成するリストとして、有機EL光取り出し基板開発の例では国際特許分類のリストを、IGZO-TFTの接触抵抗の例ではさらに元素のリストを使用し、「専門家」を作成しました。これらの「専門家」に各課題に対する解決策を10個ずつ生成させ、多様な解決策を得ました。なお、解決策の生成には比較のためGPT-4o、Llama 3.3 70B、DeepSeek V3を用いました。
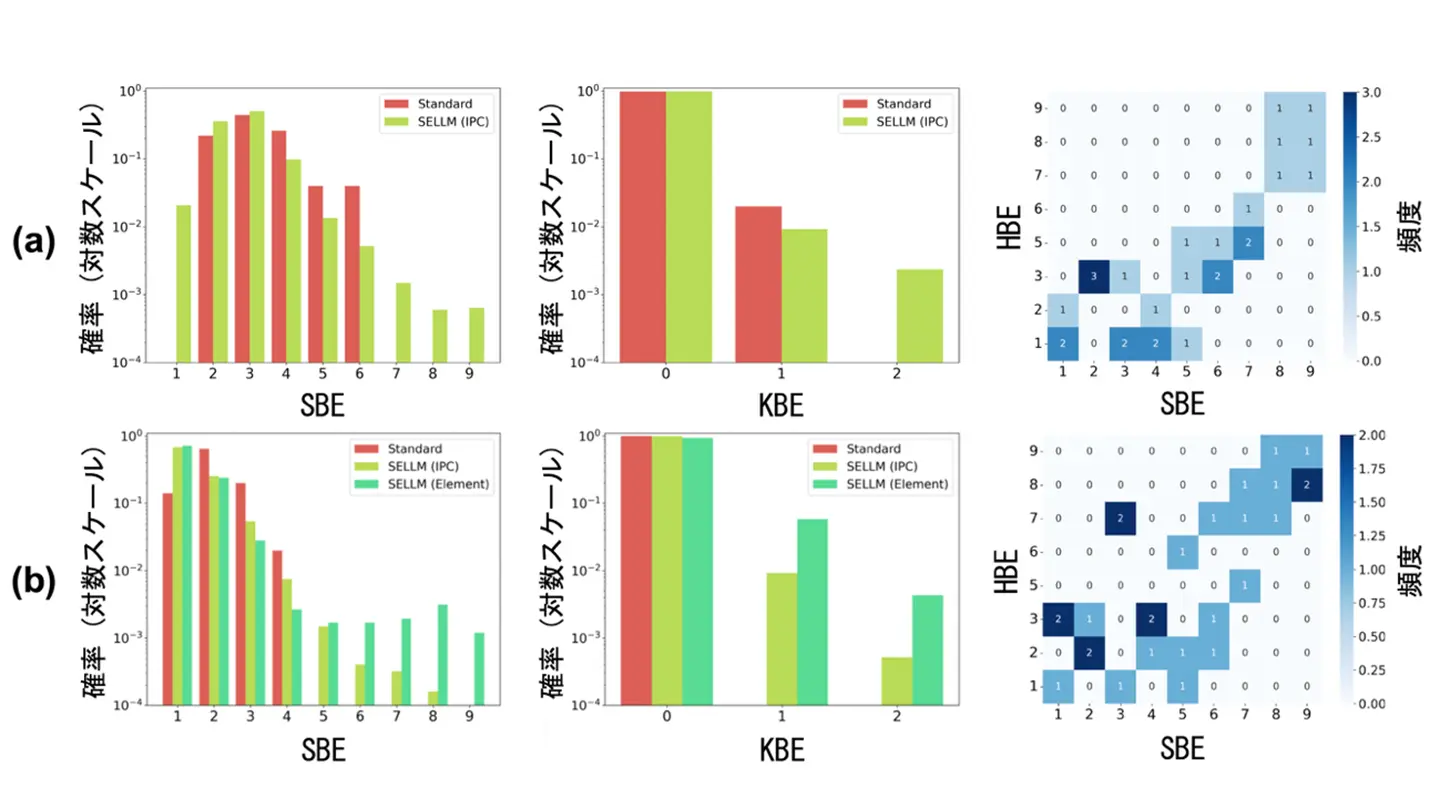
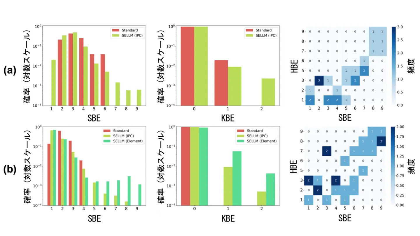
生成された解決策の評価を行うために、3種類の方法で採点を行いました(図2)。1つ目は、先行研究で提案された解決策をあらかじめ「正解」として設定し、これに対する類似度をLLMに評価させることで評価(Similarity-Based Evaluation, SBE)を行いました。2つ目は、解決策のテキストの中に重要なキーワードがいくつ入っているのかをカウントすることで評価(Keyword-Based Evaluation, KBE)を行いました。3つ目として、人間の専門家が直接解決策の中身を確認して、解決策の実現可能性や課題を解決できているかどうかで評価(Human-Based Evaluation, HBE)を行いました。

結果として、先行研究の例において、何も工夫を行わずに解決策を生成する場合(Standard)では生成できなかった高得点の解決策を、SELLMを用いて生成できたことが確認されました(図3)。SBEとKBEでの結果を表しているグラフから分かるように、どちらの検証例においても、Standardでは出せていない高スコアの解決策が、SELLMを用いた条件下で生成されました。1つ目の光取り出し課題では、有機ELあるいはその周辺部材技術者が通常は思いつかないガラスフリットペースト[用語4]を用いることが解決策のポイントで、高得点の解決策はこの点を満たしていました。また、2つ目のIGZO-TFTの接触抵抗課題では、通常電極として利用することのないパラジウムを用いることで原子状水素を接触面まで輸送し接触抵抗を下げるというコロンブスの卵的なアイデアが重要でした。SELLMはこちらの課題でもパラジウムを用いた解決策の生成に成功しました。加えて、IGZO-TFTの接触抵抗の例において、SBEが3点であるがHBEが7点である解決策が見られ、これはSBEで設定した「正解」とは違う、別解であるが効果のある解決策でした(図3b)。生成された解決策の詳細は論文をご参照ください。この結果は、SELLMが先行研究に記載されていない有望な解決策も生成できる能力を持っていることを示唆しています。さらに、LLMの種類によらずSELLMで有効な解決策が生成できることも確認しています。

a:光取り出し課題について、Standardと国際特許分類(IPC)をリストとして用いたSELLMのそれぞれの方法で生成した解決策の評価結果。左のグラフはSBEの点数分布を、中央のグラフはKBEの点数分布を示す。右のグラフはSELLMで生成された一部の解決策で、HBEとSBEの関係を示す。
b:IGZO-TFTの接触抵抗課題について、Standardと国際特許分類(IPC)または元素(Element)のリストからSELLMで生成した解決策の評価結果。左のグラフはSBEの点数分布を、中央のグラフはKBEの点数分布を示す。SBEとKBEの詳細は図2参照。右のグラフはSELLMで生成された一部の解決策で、HBEとSBEの関係を示す。
今後の展開
「本質的に解決が困難な課題」に対して、知識や技術を網羅するリストを用いることで、効果的な解決策を生成する手法SELLMを提案しました。SELLMの主要な利点の1つとして、研究室や企業の特有の技術や知識がまとめられたリストを選ぶことで、解決策の生成を制御できることが挙げられます。この柔軟性から、アイデアを得る分野の幅を自由に調整することができます。柔軟に制御できるSELLMによって生成される異分野融合的な解決策は、産学を問わない幅広い課題や問題に対して適用することができることから、さまざまな現場の研究者や開発者のインスピレーションを刺激することが期待されます。
付記
本研究は、文部科学省データ創出・活用型マテリアル研究開発プロジェクト事業(JPMXP1122683430)、JST 創発的研究支援事業 JPMJFR232Uの支援を受けて実施されました。
参考文献
- [1]
- Nakamura, N. et al. 58.1: Invited Paper: Advanced Glass Substrate for the Enhancement of OLED Lighting Out-coupling Efficiency. SID Symposium Digest of Technical Papers 44, 803–806 (2013).
- [2]
- Nakamura, N., Hayashi, K. and Imakita, K., Ohkawa, H., Odaka, H, Ishibashi, Nao. TRANSLUCENT SUBSTRATE, PROCESS FOR PRODUCING THE SAME, ORGANIC LED ELEMENT AND PROCESS FOR PRODUCING THE SAME. U.S. Patent US8018140 B2, (2011).
- [3]
- Shi, Y. et al. Approach to Low Contact Resistance Formation on Buried Interface in Oxide Thin-Film Transistors: Utilization of Palladium-Mediated Hydrogen Pathway. ACS Nano 18, 9736–9745 (2024).
用語説明
- [用語1]
- 大規模言語モデル:Large Language Model。膨大なテキストデータで訓練された、深層学習モデルを指す。さまざまな自然言語処理タスクに活用されている。
- [用語2]
- RAG:Retrieval-Augmented Generation。外部で検索した情報を用いることで、LLMの回答精度を向上させる技術。
- [用語3]
- 知識グラフ:知識の相互関係をグラフ形式で表したものを指す。ノードが人や物といった何かの実体を表し、ノードをつなぐエッジで実体同士の関係を表す。
- [用語4]
- ガラスフリットペースト:ガラス粉末をバインダーおよび溶媒と混合したペースト。電子部品の封止材などで広く用いられる。本課題の解決のためには、高屈折率にするために散乱剤を混合する必要があり、また実際に利用するためには印刷・焼成のプロセスの知識・ノウハウが必要になる。これらの技術は有機EL周辺技術とは大きく離れたものである。
論文情報
- 掲載誌:
- Communications Materials
- タイトル:
- Extracting effective solutions hidden in large language models via generated comprehensive specialists: case studies in developing electronic devices
- 著者:
- Hikari Tomita, Nobuhiro Nakamura, Shoichi Ishida, Toshio Kamiya, Kei Terayama
関連リンク
東京科学大学 総務企画部 広報課
- Tel
- 03-5734-2975
- Fax
- 03-5734-3661
- media@adm.isct.ac.jp