見えない水素の動きを捉えた

2025年11月28日 公開

水素原子の量子トンネル効果の計測に成功

ポイント

  • 軽くて小さい水素は、量子的な性質を顕著に示すと期待される原子です。しかし水素原子の直接観測は難しく、特にその量子的な拡散現象はこれまでほとんど観測されていませんでした。
  • 本研究では、共鳴核反応法と電気伝導測定を組み合わせた独自の手法により、水素原子の量子トンネル効果の計測に成功しました。金属中の水素原子が波動としての性質を示し、確率的にエネルギー障壁を透過する量子トンネルによって拡散することを明らかにしました。さらに伝導電子やフォノンとの相互作用によって量子トンネルが促進されることを実証しました。
  • 水素拡散の量子的性質の理解を深めるとともに、原子挙動の量子的制御技術の開発につながることが期待されます。
水素の量子トンネル効果

概要

東京科学大学(Science Tokyo)物質理工学院の一杉太郎特任教授(兼:東京大学 大学院理学系研究科教授)は東京大学 生産技術研究所の小澤孝拓助教と福谷克之教授、同大学 大学院理学系研究科の清水亮太准教授(研究当時、現:分子科学研究所教授)、筑波大学 数理物質系の原山勲研究員(研究当時、現:日本原子力研究開発機構研究員)と関場大一郎講師らによる研究グループと共同で、水素原子の量子トンネル効果[用語1]による拡散の観測に成功しました。

質量の小さい水素は、量子的な性質を最も顕著に示す原子です。しかし水素は直接観測することが最も難しい原子としても知られ、特に拡散における量子的な振る舞いはほとんど解明されていませんでした。本研究では高速イオンビームを用いたチャネリング共鳴核反応[用語2]電気伝導測定[用語3]を融合することで(図1)、水素吸蔵金属パラジウム(Pd)中における水素原子の量子トンネルによる拡散の高精度な計測に成功しました。これによりその温度依存性の詳細なデータが得られ、伝導電子やフォノン[用語4]の励起が水素の量子トンネルを促進することを実証しました。この研究成果は今後、原子の量子的挙動の理解や水素拡散の量子的制御技術の開発に役立つことが期待されます。

図1. チャネリングNRAと抵抗測定を組み合わせた実験装置の概略図。チャネリングNRAにより水素の結晶サイトを同定し、抵抗測定により水素の拡散速度を計測する。

発表者コメント

東京大学 小澤 孝拓助教
「もしかする未来」

本研究のきっかけは「軽い水素原子は本当に教科書通り量子トンネルするのか」という問いにあります。そのためには、水素原子の移動をどのように観測するかが重要でした。本研究では50K以下の低温で量子トンネルの拡散頻度を高精度に計測できたことに特に意味があり、これにより金属中の水素原子のトンネル過程の詳細な解析が可能となりました。今後は水素の量子性のさらなる理解と外場による量子トンネルの制御を目指して研究を進めていきます。

東京大学 小澤 孝拓助教

発表内容

水素原子はさまざまな材料に侵入しやすい性質を持ちます。隙間の大きな場所を好み、金属中では母体格子で囲まれた四面体サイト(T)や八面体サイト(O)を占有しながら拡散することが知られています。水素の運動を理解するには、量子力学的な取り扱いが欠かせません。質量が小さい水素は、電子同様に波としての性質を示し、低温では量子トンネル効果による拡散が顕著になると考えられています。このような水素の量子的挙動を理解することは、水素生成や水素貯蔵技術の発展のみならず、原子核の運動の本質解明に不可欠です。

しかし、水素原子は軽くて小さいため直接観測することが難しく、特に低温での拡散計測は困難でした。そのため量子的な拡散現象はこれまでほとんど報告されていません。水素原子の「位置」と「移動」を低温で検出することが、水素拡散における量子的性質を観測するための鍵となります。さらに、量子トンネルの機構を解析するには、詳細な温度依存性のデータ取得が欠かせません

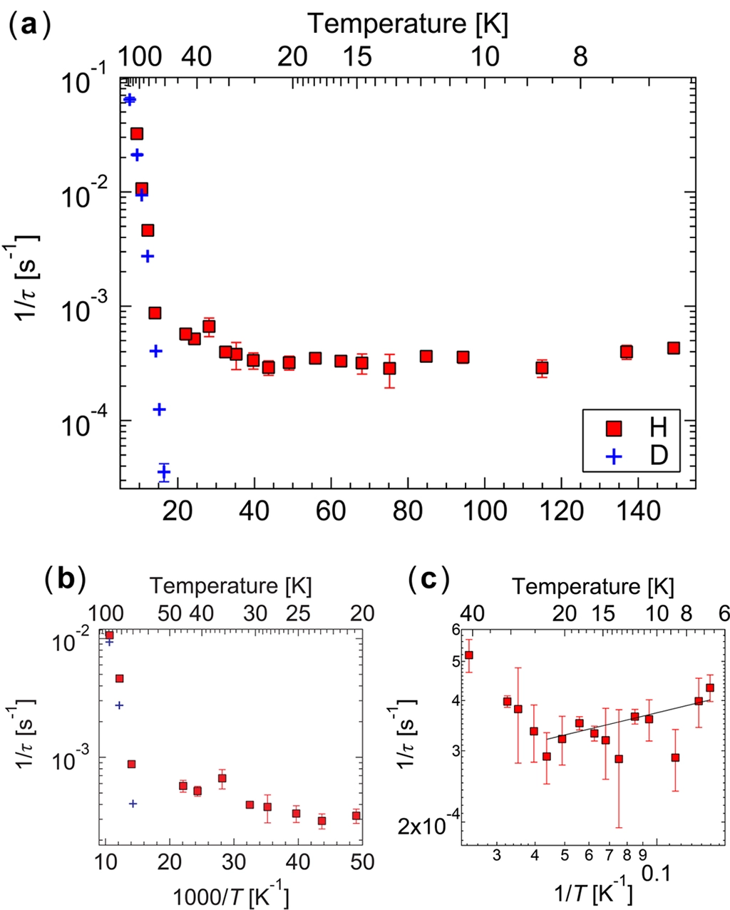
本研究グループは、独自に開発したチャネリング共鳴核反応法を用いて水素位置の解析を行いました。水素吸蔵金属Pdに50 K以下の低温でイオン照射[用語5]により非平衡的に注入された水素原子は、最安定なOサイトだけでなく、準安定なTサイトを占有することを明らかにしました。さらに、Tサイトに置かれた水素は徐々に最安定なOサイトに移動することを見つけました。本研究では電気抵抗に着目し、占有サイトによって電気伝導度が異なることを見出しました。水素のサイト移動に伴う抵抗緩和が観測され(図2)、この緩和時間が準安定Tサイトから最安定Oサイトへの水素の移動速度に対応します。これにより、低温での水素拡散の高精度計測を実現しました。図3aに示すように、低温で重水素(D)の拡散が抑制された一方、軽水素(H)はほとんど温度に依存しない拡散を示しました。この温度にほとんどよらないHの拡散は量子トンネル効果の証拠であり、同位体効果は主にトンネル確率が質量に大きく依存することを反映しています。さらに温度依存性の詳細な解析により、Hトンネル拡散が20Kを境に正・負の小さな温度依存性を示すことがわかりました(図3b、c)。これは理論的に予測されていた現象であり、それぞれフォノン励起や伝導電子の非断熱効果[用語6]によって金属中の水素原子の量子トンネルが促進されることを実験的に証明した結果です。特に後者は、電子の運動が原子核である水素の運動に完全には追従できないことを示しており、原子核の運動を理解する上で重要な知見です。フォノンや伝導電子を介して、水素の量子的挙動を制御できる可能性を示しました。

図2. Pd水素化物の抵抗測定の結果と、拡散経路の図。軽水素(H)ではTサイトからOサイトへの移動に伴う抵抗緩和が観測され、重水素(D)は移動が抑制されて抵抗緩和が観測されなかった。
図3. 抵抗測定から計測した軽水素(H)と重水素(D)のホッピング頻度。(a)全温度領域、(b)中間温度領域、(c)低温領域。(a)で同位体効果がみられる。(b)で正の温度依存性、(C)で負の温度依存性が観測された。

本研究成果は、チャネリングNRAによる構造解析と電気伝導測定による高精度な拡散計測を組み合わせ、水素の「位置」と「移動」を低温で検出することで実現されたものです。これにより、量子トンネル過程において水素原子が周囲の環境と相互作用していることを実証しました。本成果は、水素拡散の量子的性質の理解を深めるとともに、水素生成や貯蔵技術の発展や原子挙動の量子的制御技術の開発に貢献することが期待されます。

付記

本研究は、科研費「課題番号:JP18H05518」、「JP21H04650」、「JP21K20349」、「JP24K17612」、「JP24H00040」、「JP24H02204」の支援により実施されました。

用語説明

[用語1]
量子トンネル効果:粒子の波動関数がポテンシャル障壁を超えて伝播する量子力学的現象。特に水素のような軽い原子は波としての性質が顕著で、量子トンネル効果によって拡散すると期待される。古典的には越えられないエネルギー障壁を有限の確率で透過する。その透過確率は障壁の形や粒子の質量に依存し、さらにその温度依存性は周囲との相互作用(フォノンや伝導電子)の影響を反映すると考えられている。
[用語2]
チャネリング共鳴核反応法:共鳴核反応(Nuclear reaction analysis : NRA)を用いた水素の検出手法。加速器で加速した高エネルギー15NイオンとHの核反応1H(15N,αγ)12Cにより放出されるγ線を計測することで、Hを検出する。この手法にイオンチャネリング技術を組み合わせたのがチャネリングNRAである。イオンチャネリングとは、ビームの入射角度とターゲット試料の結晶軸の角度が揃う時、入射イオンが結晶軸の隙間(チャネル)を通り抜ける現象で、チャネル上のHが選択的に検出される。これを用い、角度掃引による収量変化を解析することで、ナノ薄膜やサブサーフェス領域におけるHの結晶サイトの同定が可能である。
[用語3]
電気伝導測定:材料に電流を流して電気抵抗を測定する手法。金属では、キャリア濃度や電子散乱の大きさを反映する。吸蔵された水素は母体材料の電子構造に影響を与えるため、電気伝導測定によって水素原子の吸蔵・脱離、さらには非等価サイト間の移動を高精度に検出することができる。
[用語4]
フォノン:格子振動のエネルギーや運動量を扱う概念であり、結晶中の原子の格子振動を量子化した準粒子。フォノンの励起とは、格子振動の励起を意味する。
[用語5]
イオン照射:原子や分子をイオン化し、電圧で加速させて試料に照射する手法。加速によって得られる運動エネルギーにより、本来は水素を吸蔵しない材料を水素化したり、準安定な結晶サイトに水素を導入したりすることできる。
[用語6]
非断熱効果:電子の運動が原子核の動きに完全に追従できず、電子励起が生じる現象。特に金属中の伝導電子は、極めて小さなエネルギーの励起が許されるため、この効果が顕著に表れる可能性がある。

論文情報

掲載誌:
Science Advances
タイトル:
Observation of proton tunneling correlated with phonons and electrons in Pd
著者:
Takahiro Ozawa*, Ryota Shimizu, Isao Harayama, Taro Hitosugi, Daiichiro Sekiba, Katsuyuki Fukutani

発表者・研究者情報

  • 東京大学 生産技術研究所
    • 小澤 孝拓 助教
    • 福谷 克之 教授
      兼:国立研究開発法人日本原子力研究開発機構 グループリーダー
  • 東京大学 大学院理学系研究科 化学専攻
    • 清水 亮太 准教授(研究当時)
      現:大学共同利用機関法人自然科学研究機構分子科学研究所 教授
    • 一杉 太郎 教授
      兼:東京科学大学 物質理工学院 応用化学系 特任教授
  • 筑波大学 数理物質系
    • 原山 勲 研究員(研究当時)
      現:国立研究開発法人日本原子力研究開発機構 研究員
    • 関場 大一郎 講師

関連リンク

お問い合わせ

東京大学 生産技術研究所

助教 小澤 孝拓

東京大学 生産技術研究所

教授 福谷 克之

東京科学大学 物質理工学院 応用化学系

特任教授 一杉 太郎

取材申し込み

東京大学 生産技術研究所 広報室

東京大学 大学院理学系研究科・理学部 広報室

東京科学大学 総務企画部 広報課