連続量型イオントラップ量子コンピューターにおけるフォノンホッピング制御

2025年2月4日 公開

ポイント

  • イオントラップ中の原子イオン間でのフォノンホッピングを、位相シフトを繰り返し適用することによって高精度に制御する方法を提案。
  • 原子イオンのトラップポテンシャルを変調させることによって位相シフトを高速に実装可能。さらに、従来法に比べてフォノンホッピングの制御精度も向上可能。
  • 本提案のフォノンホッピング制御法を実装すれば、連続量型量子コンピューターにおける基本的なエンタングルメント生成素子であるビームスプリッターを実現可能。

概要

東京科学大学(Science Tokyo) 理学院物理学系の向山敬教授、齋藤了一助教の研究グループは、東京大学大学院 理学系研究科 化学専攻およびアト秒レーザー科学研究機構の山内薫特任教授、アト秒レーザー科学研究機構の西孝哲特任研究員の研究グループと共同で、連続量型イオントラップ量子コンピューターにおける、複数イオン間のエンタングルメントの生成およびその制御スキームの理論提案を行った。

量子コンピューター[用語1]の大規模化・実用化における重要技術である量子エラー訂正の手法として、連続量型[用語2]を用いた1論理量子ビットの量子エラー訂正については、イオントラップ[用語3]を用いて実証されている。一方、連続量型においてイオン間のエンタングルメント[用語4]を制御するためには、フォノンホッピング[用語5]を制御する必要があるが、これは未だに困難な課題である。本研究では、トラップポテンシャルを変調させることによって、イオン間のエンタングルメントを高い精度で制御できることを示した。本手法を論理量子ビットへ適用すれば、連続量型イオントラップ量子コンピューターの開発が一層加速することが期待される。

本研究成果は、2月4日付の「Physical Review A」誌に掲載された。

  • 2024年10月1日に東京医科歯科大学と東京工業大学が統合し、東京科学大学(Science Tokyo)となりました。
提案したフォノンホッピング制御法(C3PO)の概念図

発表内容

連続量型量子コンピューターにおいて重要な量子エラー訂正符号であるGottesman–Kitaev–Preskill(GKP)状態[用語6]の生成およびエラー訂正サイクルは、イオントラップ量子コンピューターの場合には、単一原子イオンの局所振動モードを用いて実証されている。2つ以上の原子イオンがある場合、イオン間に働くCoulomb相互作用によって、局所振動モード間でフォノンホッピングが誘起され、その結果、エンタングルメントが生成される。しかし、Coulomb相互作用を制御することはできないため、時間の経過とともに自動的にエンタングルメントが生成されてしまうことになる。

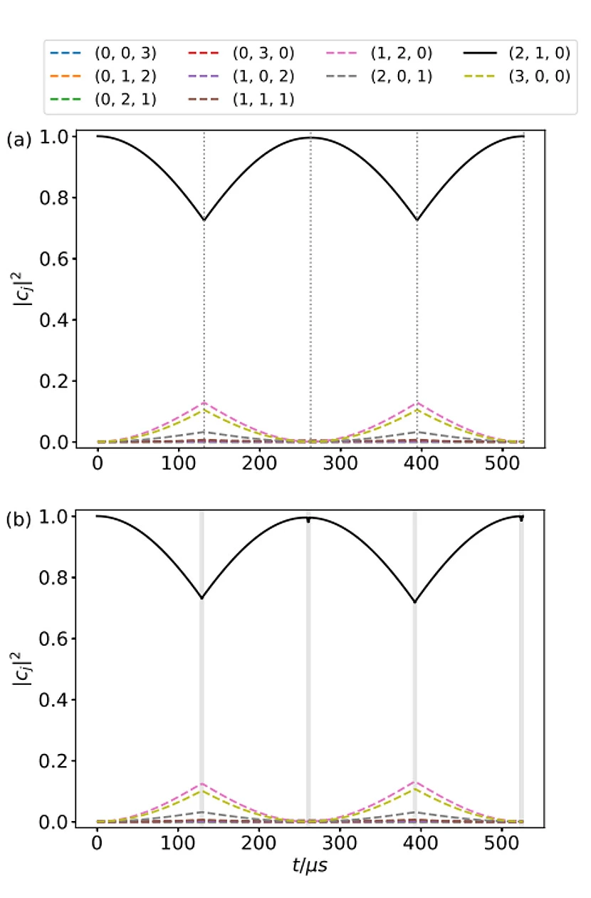
フォノンホッピング制御法としては、dynamical decoupling(DD)が知られている。これは、2モード間のフォノンホッピングを t=0 から t=T まで考える場合、「t=T/2π 位相シフトを適用すると、前半(t=0~T/2)と後半(t=T/2~T)のフォノンホッピングがキャンセルする」という原理に基づいている。本研究では、DDを3モード以上に拡張した場合、フォノンホッピングは近似的にしかキャンセルできないが、その精度を向上させるためには π 位相シフトを繰り返し適用すればよいことを示した。また、3つの40Ca+イオンがトラップされた系に対して、3モードの場合のDDについて数値シミュレーションを行った。初期状態が |ψ(t=0)⟩=|2,1,0⟩ のとき、t=T/4,2T/4,3T/4,T において π 位相シフトを適用すると、〈E〉=|⟨ψ0│I-U│ψ0 ⟩|U はDDによる時間発展を表す演算子)で定義されたエラーは 〈E〉=4.4×105となった(図1a)。さらに、π 位相シフトの数を20回に増やし、t=T/20,2T/20,3T/20,,19T/20,T においてπ 位相シフトを適用したところ、エラーは 〈E〉=1.9×10-6 まで減少した(図2a)。

図1. π 位相シフトを4回適用した場合のフォノンの占有率の時間変化。3モードで初期状態 |2,1,0⟩ に対して、t=T/4,2T/4,3T/4,T において π 位相シフトを適用して得られた結果。理想的なDD (a) の場合も C3PO (b) の場合も、t=T において |2,1,0⟩ (黒実線)の占有率が高い精度で再び1に戻っている。
図2. π 位相シフトを20回適用した場合のフォノンの占有率の時間変化。3モードで初期状態 |2,1,0⟩ に対して、t=T/20,2T/20,,19T/20,T において π 位相シフトを適用して得られた結果。理想的なDD (a) の場合も C3PO (b) の場合も、t=Tにおいて |2,1,0⟩ (黒実線)の占有率が高い精度で再び1に戻っている。

ただし、以上の結果は、π 位相シフトが瞬間的に実現できるとする理想的なDDの場合に得られたものである。実際には、π 位相シフトの適用には有限の時間が掛かり、その間もCoulomb相互作用によってフォノンホッピングが進行するため、DDの精度が下がってしまう。そこで本研究では、トラップ電極にパルス電圧を印加することによって、高速な位相シフトゲートを実装し、DDと組み合わせる手法「cancellation of Coulomb coupling by modulating harmonic potential(C3PO)」を提案した。そして、C3POを40Ca+イオンに適用する場合についてパルス電圧波形の検討を行い、 π 位相シフトが数マイクロ秒で実装できることを示した。これは、レーザーを用いた従来法においてπ 位相シフトのために数十マイクロ秒を要することと比較すると、約1桁の高速化が達成できることを示している。そこで、3モードの場合にC3POの数値シミュレーションを行ったところ、初期状態が|ψ(t=0)⟩=|2,1,0⟩ のとき、t=T/4,T/2,3T/4,T において π 位相シフトを適用した場合、エラーは 〈E〉=4.4×105となり(図1b)、π 位相シフトを20回繰り返すとエラーは 〈E〉=2.6×10-6 まで減少した(図2b)。得られたエラーは、π 位相シフトを一瞬で実装できると仮定した場合(図1a, 2a)と同程度のエラーであり、位相シフト操作中にフォノンホッピングが進行することによるエラーの増加を十分に抑えられることを示している。

最後に、連続量型量子コンピューターにおける基本的なエンタングルメント生成素子であるビームスプリッターを、C3POを用いて実装する方法を示した。3つのモードが q2,q1,q0の順に並んでいる場合に、q1-q0間でビームスプリッターを作用させるには、q2-q1間とq2-q0間のフォノンホッピングをキャンセルすれば良い。初期状態が |ψ(t=0)⟩=|1,1,1⟩ のとき、終状態は f ⟩=(|1,2,0⟩+|1,0,2⟩)/√2 となるはずであり、図3に示すように、実際に |1,1,1⟩ の占有率が減少するとともに |1,2,0⟩|1,0,2⟩ の占有率が増加する。

図3. ビームスプリッター適用時のフォノンの占有率の時間変化。3モードで初期状態 |1,1,1⟩ のときに、理想的なDD (a) の場合とC3PO (b) の場合に得られた結果。いずれの場合も、期待される通り、t=T|1,2,0⟩ (赤実線)と |1,0,2⟩ (青実線)の占有率がどちらも0.5になっている。

エラーを〈E〉=|⟨ψf│Uideal-U│ψ0 ⟩|Uideal は理想的なビームスプリッターを表す演算子)によって定義すると、π 位相シフトが瞬間的に実現できるとする理想的なDDの場合、エラーは 〈E〉=1.8×10-3、C3POの場合 〈E〉=1.6×10-3 となった。

本手法は4モード以上の場合や、初期状態がGKP状態のように複雑な場合においても適用可能であるため、実験での実証が期待されるばかりでなく、フォノンホッピングの制御方法の精度をさらに向上させるための指針を与えるものである。

付記

本研究は、JST-CREST研究領域「量子・古典の異分野融合による共創型フロンティアの開拓」の研究課題「イオントラップqudit-boson型量子演算の実現(課題番号:JPMJCR23I7)」の支援により実施された。

用語説明

[用語1]
量子コンピューター:量子状態を用いて情報処理を行うコンピューター。情報の単位には論理量子ビットと呼ばれる2準位系 {|0⟩L, |1⟩L} を使う。実用的な量子コンピューターの実現には、物理的な2準位系 {|0⟩, |1⟩} をそのまま論理量子ビットとして用いるのではなく、多数の2準位系や多準位系、あるいは連続量型(用語2参照)を用いて、{|0⟩L, |1⟩L} を符号化して、量子エラー訂正を行う必要がある。
[用語2]
連続量型:位置と運動量という連続変数で記述された調和振動子の量子状態を用いる量子情報処理方式。調和振動子の振動自由度をモードと呼ぶ。例えば、イオントラップの局所振動モードの場合、1つのイオンのx, y, z方向の振動それぞれが1つのモードとなる。
[用語3]
イオントラップ:静電場と振動電場、あるいは、静電場と磁場を組み合わせて、イオンにとって実効的な調和ポテンシャルを作り、そこにイオンをトラップする手法。
[用語4]
エンタングルメント:複数の自由度間の量子的な相関。たとえば、2量子ビットの場合、|ψ⟩∝ |0,0⟩+ |1,1⟩ という状態は一方の量子ビットが |0⟩|1⟩)であればもう一方も|0⟩|1⟩)という相関がある。量子コンピューターの計算能力が古典コンピューターのそれに比べて優位になるために必要な要素の1つ。
[用語5]
フォノンホッピング:トラップされたイオンの振動は、量子化された調和振動子として記述できる。振動の励起はboson粒子として扱えるため、フォノンと呼ばれる。イオン間に働くCoulomb相互作用によってフォノンが異なるモード間で移動する現象をフォノンホッピングと呼ぶ。
[用語6]
Gottesman–Kitaev–Preskill(GKP)状態:連続量型量子コンピューターにおける量子エラー訂正符号の1つ。位置あるいは運動量の固有状態を一定の間隔で重ね合わせることによって、位相空間上でグリッド状のパターンを形成し、論理量子ビットを符号化する。

論文情報

掲載誌:
Physical Review A
論文タイトル:
Cancellation of phonon hopping in trapped ions by modulation of the trap potential
著者:
Takanori Nishi, Ryoichi Saito, Takashi Mukaiyama, Kaoru Yamanouchi*

発表者・研究者

向山敬

東京科学大学 理学院物理学系 教授

齋藤了一

東京科学大学 理学院物理学系 助教

山内薫

東京大学 大学院理学系研究科 化学専攻/アト秒レーザー科学研究機構 特任教授/機構長

西孝哲

東京大学 アト秒レーザー科学研究機構 特任研究員

関連ページ

お問い合わせ

東京大学大学院 理学系研究科 化学専攻 特任教授/アト秒レーザー科学研究機構 機構長

山内薫

東京科学大学 理学院物理学系

教授 向山敬

東京科学大学 理学院物理学系

助教 齋藤了一

取材申込み

東京大学 大学院理学系研究科理学部 広報室

東京科学大学 総務企画部 広報課