原子スケール計算と機械学習で燃料電池の触媒候補を理論的に探索

2026年4月22日 公開

活性と安定性を両立する白金合金触媒の逆設計を加速

ポイント

  • 原子スケール計算と生成モデルの組み合わせで、酸素還元反応(ORR)触媒を自動生成する理論計算手法を開発
  • 白金合金触媒の活性と安定性を同時に最適化し、原子レベルの構造を生成モデルから提案することで、優れた触媒構造を自動的に探索
  • 計算機スクリーニングによる新規材料探索手法として、多様な合金系への応用に期待

概要

東京科学大学(Science Tokyo) 環境・社会理工学院 融合理工学系の石川敦之准教授と若宮大志郎大学院生は、酸素還元反応(ORR)[用語1]を担う燃料電池触媒を、原子スケール計算と機械学習の一手法である生成モデルを組み合わせて、活性と安定性を両立する触媒を効率的に提案する手法を開発しました。

ORR用の白金触媒では、白金使用量が低減できる合金触媒が注目されていますが、最適な組成や原子配列の網羅的な探索には膨大な第一原理計算[用語2]が必要となります。また機械学習を用いた特性の予測でも、望みの特性を持つ構造自体の提案は困難でした。

本研究では、ニューラルネットワーク・ポテンシャル(NNP)[用語3]を用いた原子スケール計算による触媒の活性・安定性の予測と、生成モデル(変分オートエンコーダー、CVAE)を組み合わせることで、触媒候補を理論的に探索する手法を開発しました。この手法を、実際に広く用いられている白金−ニッケル系に適用したところ、高い活性と安定性を両立する触媒候補が多数見つかり、特に高活性への寄与が知られている構造が選択的に生成されることが確認されました。さらに、この手法の適用範囲をチタンやイットリウムなどとの複数の合金系へ拡張したところ、白金−イットリウム系が高い安定性と活性を持つこと、さらに白金とイットリウムの比が3:1に近い組成が有望であることも示されました。このことから、本手法によって「どの元素をどの程度加えるとよいか」の自動的な探索が可能であることが確かめられました。

今回開発した手法は、燃料電池触媒だけでなく、水電解による水素生成・蓄電池の正極および負極・化学プロセス材料などの幅広い分野への展開が期待できます。

本成果は、国際学術誌 2026年4月14日(現地時間)付の「npj Computational Materials」誌にオンライン掲載されました。

図1. 本研究で提案する、原子スケール計算による活性・安定性予測と生成モデルによるORR触媒生成のワークフロー

背景

固体高分子形燃料電池(PEMFC)は、水素から電力を取り出す次世代エネルギー技術として注目されています。しかし、正極の酸素還元反応(ORR)は反応が遅いため、高性能な触媒材料が必要です。現在広く用いられている白金(Pt)触媒は、高活性であるものの、鉱物資源として希少なためコストが高いという課題があります。そのため、Ptに安価な元素を加えた合金触媒が有望視されてきました。特にPt–Ni(白金−ニッケル)系では、表面にPtが多く存在する「Ptスキン構造[用語4]」が高活性に寄与することが知られていました。しかし、そうした白金合金触媒の最適な組成や原子配列を網羅的に探索するには、計算コストの高い第一原理計算を多数実行する必要がありました。

近年は、計算機シミュレーションや機械学習を用いて材料特性を予測する研究が進んでいますが、「望みの特性を持つ構造そのものを提案する」ことは依然として困難でした。そこで本研究では、原子スケールの計算により触媒の活性と安定性に対するデータベースを構築し、その学習データから、望みの特性を持つ構造を模倣して生成できる「生成モデル」を用いて、活性と安定性を同時に満たす触媒を提案する手法を開発しました。

研究成果

著者の1人は以前の研究で、第一原理計算と生成モデル(条件付き敵対的生成ネットワーク)を組み合わせて、触媒を理論シミュレーションから自動的に提案する手法を提案していましたが、この手法は生成モデルの学習が難しいという難点がありました[参考文献1]。そこで今回の研究では、生成モデルとしてより学習が安定している「条件付き変分オートエンコーダー(CVAE)[用語5]」を用いました。

まず、ランダムに作成された触媒の初期構造に対して、過電圧と合金形成エネルギーを原子スケールの計算手法であるNNPを用いて評価し、初期学習データセットを作成してから、CVAEを学習します。次に、CVAEが「高活性・高安定」と見込まれる新しい触媒構造を生成し、それをNNPで高速に再評価して再び学習に戻す、という反復ループを構築しました(図2)。これにより、データセットそのものを段階的に改善しながら、有望な候補構造を効率的に探索できます。

図2. 反復ワークフローの概要

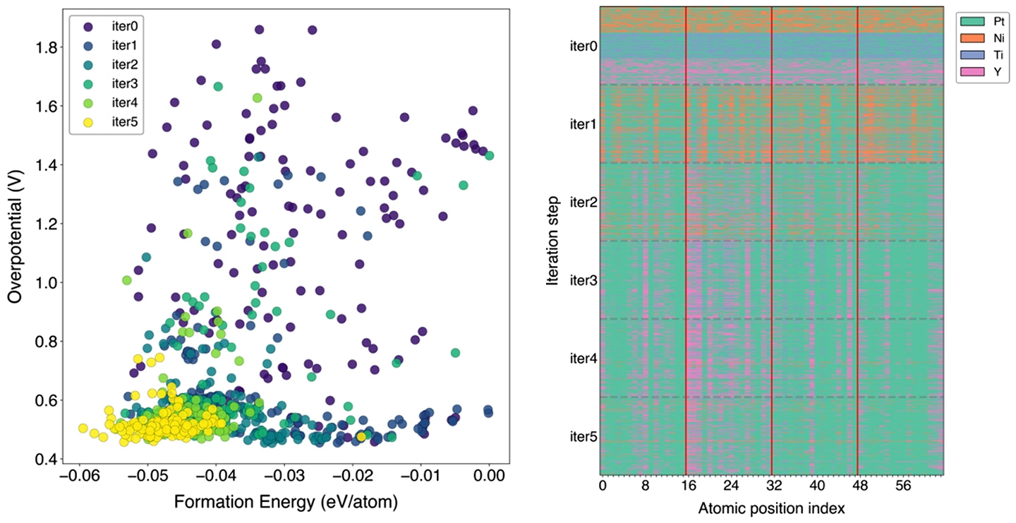
この手法をPt–Ni系に適用したところ、6回の反復を通じて平均過電圧が1.126 Vから0.520 Vへ低下し、平均合金形成エネルギーも−0.027 eV/atomから−0.047 eV/atomへ低下しました(図3左)。さらに、活性と安定性の両方の条件(活性化過電圧<0.60 V、合金生成エネルギー<−0.05 eV/atom)を満たす候補は、初期の無作為データでは0件でしたが、最終反復では24件(19%)に増加しました。同じ計算回数で比較した無作為探索では、これらの条件を同時に満たす構造は1件のみであり、本手法が有望領域を優先的に探索できることを示しています。また、潜在空間の解析からは、CVAEが表面にPtを多く配置したPtスキン様の構造を選択的に生成していることが分かりました。これは、従来知られていたORR触媒の設計指針と整合しています[参考文献2]

さらにこの手法で扱う構造を、Pt–Niに加えて白金−チタン(Pt–Ti)、白金−イットリウム(Pt–Y)を含む複数の合金系へ拡張したところ、活性と安定性の両方を満たす候補の割合は4%から25%へ上昇しました(図3右)。最終反復では、生成された候補256構造中、180構造(約70%)をPt–Y系が占め、特にPt3Yに近い組成が有望であることも示されました。こうした結果から、本手法は「どの元素をどの程度加えるとよいか」の自動的な探索が可能であることが確認できました。

図3. (左)イテレーション(反復)が0から5までのPt-Niの過電圧と合金形成エネルギーの散布図。イテレーションが進むほど、高活性(y軸が小さい)かつ高安定性(x軸が小さい)触媒が集中的に生成していることが分かる。
(右)初期構造をPt–Ni、Pt–Ti、Pt–Yに拡張した場合のイテレーションごとの生成構造の変化。最初はPt–Ni、Pt–Ti、Pt–Yが混ざっているが、イテレーションが進むにつれてほとんどがPt–Yになる。これはこの合金の安定性が他と比べて高いためである。

社会的インパクト

本研究で開発した手法は、第一原理計算だけでは難しい「新規触媒材料の提案」を、生成モデルを用いて有望な候補を絞り込みながら進めるという、新しい材料設計手法です。活性と安定性のように、複数の性能指標を同時に最適化する材料開発手法は、燃料電池触媒だけでなく、電解・電池・化学プロセス材料など、幅広い分野で必要とされるものです。本手法は、こうした多目的材料探索の手法としての展開が期待できます。

今後の展開

今後は、この手法の適用対象をより多様な合金系や結晶構造へ広げるとともに、合金形成エネルギーだけでなく、実使用環境に近い表面状態依存の安定性指標を取り入れることで、より実用的な触媒設計へ発展させる予定です。さらに、構造表現を改良し、原子座標の緩和や異なる結晶群も一貫して扱える生成モデルへ拡張することで、逆設計の適用範囲をさらに広げていきます。

付記

本研究は、JST GteX(革新的GX技術創出事業、課題番号 JPMJGX23H0)の支援を受けて実施されました。また、計算には東京科学大学のスーパーコンピュータ TSUBAME4.0 を活用しました。本研究に用いたコードは GitHub を通じて公開しています。

参考文献

[参考文献1]
Ishikawa, A. Heterogeneous catalyst design by generative adversarial network and first-principles based microkinetics. Sci. Rep. 12, 11657 (2022). https://doi.org/10.1038/s41598-022-15586-9
[参考文献2]
Greeley, J. et al. Alloys of Platinum and Early Transition Metals as Oxygen Reduction Electrocatalysts. Nat. Chem. 1, 552-556 (2009). https://doi.org/10.1038/nchem.367

用語説明

[用語1]
酸素還元反応(ORR):燃料電池の正極で進行する重要な電気化学反応。負極で起こる水素酸化反応に比べて反応速度が遅いため、高性能触媒が必要。
[用語2]
第一原理計算:原子や電子の動きを、物理の基本法則に基づいてコンピュータで計算する手法。実験だけでは調べにくい材料の性質や反応性を、理論的に予測するために用いられる。
[用語3]
ニューラルネットワークポテンシャル(NNP):原子配置からエネルギーや力を高速に予測する機械学習モデル。第一原理計算より低コストで多数の候補を評価できる。
[用語4]
Ptスキン構造:触媒表面をPtが占め、下層に他元素を含む構造。ORR活性の向上に有利。
[用語5]
条件付き変分オートエンコーダー(CVAE):指定した特性条件に合うデータを生成できる生成モデルの一種。

論文情報

掲載誌:
npj Computational Materials
タイトル:
Artificial Catalyst Generation for the Oxygen Reduction Reaction using Conditional Variational Autoencoder and Atomistic Calculations
著者:
Taishiro Wakamiya, Atsushi Ishikawa

研究者プロフィール

若宮 大志郎 Taishiro Wakamiya

東京科学大学 環境・社会理工学院 融合理工学系 大学院生(博士後期課程)
研究分野:理論化学、量子化学、触媒化学

石川 敦之 Atsushi Ishikawa

東京科学大学 環境・社会理工学院 融合理工学系 准教授
研究分野:理論化学、量子化学、触媒化学

関連リンク

お問い合わせ

東京科学大学 環境・社会理工学院 融合理工学系
准教授 石川 敦之

取材申し込み

東京科学大学 総務企画部 広報課