ポイント
- プラズマ技術を用いることで約600℃でCOから電気伝導性が高いカーボンブラックを大量合成することに成功。
- 流動層構造によりカーボンブラックによる反応器の閉塞を避け連続合成を実現。
- 合成プロセスを電化することでCO2排出量を従来の1/10に低減できると期待。
概要
東京科学大学(Science Tokyo)※ 工学院 機械系の野崎智洋教授、シャオゾン チェン(Xiaozhong Chen)博士研究員は、非平衡プラズマでCOを活性化し鉄触媒に作用させることで、高い電気伝導性を示すカーボンブラックの連続かつ大量合成に成功しました。非平衡プラズマを用いれば、電子温度だけ数万度に加熱できることを利用して、反応場の温度を低く保ったまま化学反応を引き起こすことができます。
CO2を化学的に分解し固体炭素材料(以下、カーボンブラックと称する)としてリサイクルする技術は、有望な低炭素技術の一つとして注目されています。反応の第一段階としてCO2をCOに転換する反応は、吸熱反応であるため比較的温度の高い熱エネルギーの供給が必要になります。一方、COを炭素に変換する反応(Boudouard反応)は発熱反応であり、平衡論的に反応温度が低くなるほどカーボンブラックの収率が増加することが期待されます。しかし、温度が低くなると反応速度が遅くなることに加え、低温ではグラファイト構造が形成されにくく望ましい物性を持つカーボンブラックが得られないなど課題が残ります。そのため、低い温度でも化学反応速度を高く保ち、さらにグラファイト化度が高いカーボンブラックを合成する非熱的な触媒反応の実現が望まれていました。このような現状を鑑み、研究グループは安価な鉄触媒を流動媒体とするプラズマ流動層反応装置を用い、約600℃の低温でCOから電気伝導性が高いカーボンブラックを大量連続合成することに成功しました。
日本におけるカーボンブラックの需要は70~100万トン/年で、主にタイヤや高分子材料への添加剤として利用されています。一方、本手法で合成した炭素材料は電気伝導性が高いことが特徴で、燃料電池や二次電池など低炭素技術で有望される電気化学デバイスの電極材料として利用することができます。CO2を炭素資源として循環利用するだけでなく、カーボンブラックの新しい需要を開拓するうえでも重要な役割を果たすことが期待されます。
本研究成果は、2024年11月26日発行のACS Energy Lettersに掲載されました。
- 2024年10月1日に東京医科歯科大学と東京工業大学が統合し、東京科学大学(Science Tokyo)となりました。
背景
近年、CO2を炭素資源として合成燃料、有機材料、高分子材料などを製造する研究が注目を集めています。反応の第一段階としてCO2からCOを合成するために、逆水性シフト反応(CO2+H2=CO+H2O)、CO2の熱分解(CO2=CO+0.5O2)や電気化学分解(CO2(+H2O+2e)=CO+0.5O2(+H2O+2e))などさまざまな反応が提案されています。一方、COを合成燃料などに変換するためには大量のグリーン水素が必要になることが多く、エネルギー・物質変換効率に加え経済性の点でも課題が残ります。これに対して、COをカーボンブラックに変換する反応はグリーン水素を必要とせず(Boudouard反応:CO+CO=C+CO2)、CO2由来の炭素を安定な固体炭素に変換することができます。Boudouard反応ではCO2が一部再生されるものの、CO2の電気化学分解など既存技術と組み合わせることでグリーン水素を用いることなくCO2から炭素を分離してカーボンブラックとして利用できます。合成されたカーボンブラックの需要によってプロセス全体の経済性が大きく左右されるため、付加価値の高いカーボンブラックを合成することも必要とされています。
研究成果
研究グループは、これまでの研究でCOを振動励起すれば触媒を構成する格子酸素(結晶構造中の原子配列のすき間に存在する酸化物イオン)との反応が促進されることを見出しており[参考文献1]、これをカーボンブラックの合成に応用する着想に至りました。プラズマ触媒反応で合成したカーボンブラックは、合成温度が600℃程度であるにもかかわらず、ファーネスブラック(炭化水素の部分燃焼を利用した1,000℃以上の高温熱プロセスで合成したカーボンブラック材料)よりも高いグラファイト結晶性を有しており、高い電気伝導性を示すことが分かりました。高分子やタイヤの充填(じゅうてん)剤だけでなく、燃料電池や二次電池など、低炭素技術で有望な電気化学デバイスの電極材料として利用することが期待され、炭素材料の需要を開拓するうえでも重要な役割を果たすことが期待されます。
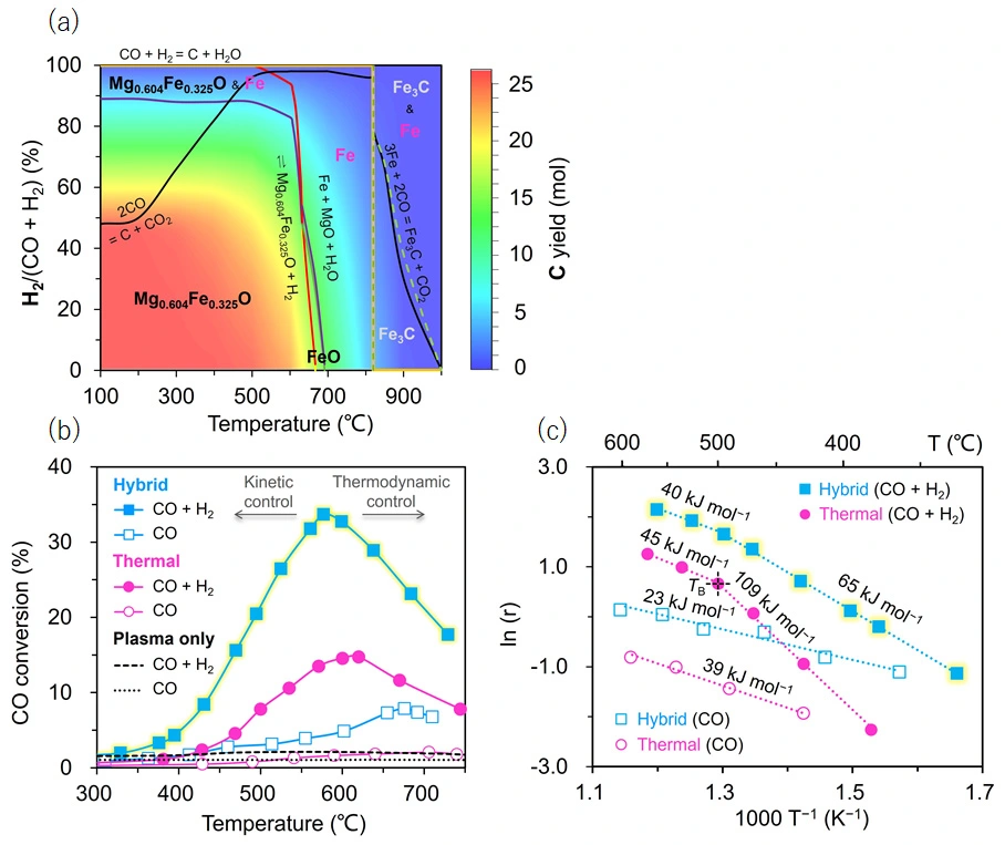
カーボンブラックが生成されやすい条件を調べるため、熱平衡計算に基づき炭素(C)、酸素(O)、水素(H)、鉄(Fe)、マグネシウム(Mg)の相図を作成しました。マグネシウムは鉄触媒を保持する担体として利用します。図1(a)の赤色で示された領域(100〜500℃)はカーボンブラックが生成されやすい条件を示しています。実際に、さまざまな条件(温度、プラズマ印加・水素添加の有無)でカーボンブラック合成を試みたところ、触媒の温度が高すぎても低すぎてもカーボンブラックは生成されず、約600℃(プラズマ印加・水素添加あり)で最も高いカーボンブラックの収率を示しました(図1(b))。気体分子に内部エネルギーを与えることで活性化エネルギーが熱反応の109 kJ/molからプラズマ反応の65 kJ/molに低下し、約600℃で20~30 gC/gFe/hのカーボンブラックを合成できます(図1(c))。600℃の領域では、鉄(Fe)は酸化物(例えばFe-Mg-O、Fe3O4など)として安定に存在するため、触媒機能を発現しづらいと考えられます。しかしプラズマを印加すると、励起された気体分子が鉄酸化物の一部を鉄に還元し、活性サイトを形成することで平衡論的に有利な低温領域でのカーボンブラック生成に寄与したと考えられます。すなわち、プラズマの役割はCOを励起して直接的にC≡O結合を切るのではなく、低温で鉄酸化物を部分的に還元することだと示唆されました。また、H2を微量添加(COに対して約10%)してプラズマを作用させると、CO転換率は最大で約6倍向上しました(図1(b):600℃付近での■と□を比較)。これはプラズマで励起された水素が高い触媒還元能を有するためで、反応機構に関する本研究グループの仮説を支持しています。水素は酸化鉄を還元する過程でH2Oになり消費されますが、水性シフト反応(H2O+CO=H2+CO2)によって容易に再生されます。そのため、プラズマとともに微量添加したH2は化学反応を顕著に促進しつつ、H2消費量はわずか3.5%にとどまります。

カーボンブラックの密度は触媒粒子より約2桁小さく軽いため、合成中は反応器下部の流動層部分に滞留しません。約11時間の連続合成において、プラズマの諸特性(電圧電流特性など)、CO消費率、触媒活性はほとんど変化しないことも確認しています。600℃ではカーボンブラックは反応器壁に焼き付くような問題を起こさないため、一時的にガス流量を増やすことで反応器にたまったカーボンブラックを流出させることで連続運転することができます(図2)。

熱反応で合成したカーボンブラックは繊維状の構造を示しますが、プラズマを作用させるとコイル状に湾曲したカーボンブラックが選択的に生成されることも分かりました(図3)。プラズマによって成長速度が速くなると、カーボンブラックと触媒の界面で引っ張り・圧縮などの応力が不均衡に発生するため湾曲すると考えられます。湾曲構造によって比表面積が増大する、母材との接着強度が増すなどの効果が発現すれば用途開発において波及効果が期待されます。

図4(a)は図3(b)に示したコイル状カーボンブラックのラマン散乱スペクトルです。グラファイト構造を示すG-bandピークが明瞭に観察され、グラファイトが層状になっていることを示唆する2D-bandピークも確認できます。図4(b)は高電気伝導性グラファイト(ファーネスブラック)として入手可能なカーボンブラックのラマン散乱スペクトルで、比較のため同じ分析装置、分析条件で解析しました。ファーネスブラックにおいては、グラファイト構造の欠陥を示すD-bandピークはG-bandピークよりも大きく、グラファイト結晶サイズはコイル状カーボンブラックより小さいことが示唆されます。また、2D-bandピークが非常に小さいことからグラファイトの層状構造が形成されていないことが示唆されます。すなわち、ファーネスブラックのグラファイト結晶性はプラズマ触媒で合成したものより低いことがわかります。さらに、コイル状カーボンブラックおよびファーネスブラックを用いてリチウムイオン電池の電極を作成し充放電特性を評価した結果、コイル状カーボンブラックの方が高い性能を示しました。グラファイト結晶性が高いことに加え、繊維状構造が電荷の輸送経路を形成しやすいことも要因と考えられます。

今回開発した手法は、機能性炭素材料合成に寄与するだけでなく、CO2排出量が少ない低炭素製造技術としてのユニークな特徴も備えています。反応温度が比較的低いため、プラズマの非熱的な作用で化学反応を促進するだけでなく、プラズマで発生する熱も有効利用してカーボンブラック合成プロセスを完全電化できる可能性があります。この電力を低炭素電源(再生可能エネルギー)から供給すれば、一般的なファーネスブラックを合成する技術と比較してCO2排出量原単位を約1/10に低減できることが試算されています[参考文献2]。
社会的インパクト
燃料電池や二次電池など将来の低炭素技術において需要が見込まれる電気化学デバイスの普及には、高い電気伝導性を有する炭素材料の大量導入が不可欠です。近年はCO2電気分解などCO2からCOを合成する革新的な反応プロセスが種々考案されています。CO2からCOを合成する反応と柔軟に組み合わせることで、グリーン水素に強く依存せずCO2を炭素資源として循環利用する新しい低炭素技術の実現に貢献することができます。
今後の展開
今回開発した技術はCOを原料としていますが、CO2電気分解反応などと組み合わせてCO2-to-Cを実現するプロセスを実際に構築し、そのうえで多量に排出されるCO2をカーボンブラックに変換する装置の大型化を実現することが求められます。これと同時に、合成されたカーボンブラックの需要を開拓することも必要です。
付記
本研究は、科学技術振興機構(JST) 戦略的創造研究推進事業 CREST「非平衡プラズマを基盤とした電子駆動触媒反応の創成」(研究代表者:野崎智洋)(課題番号:JPMJCR19R3)の支援を受けて実施されました。
参考文献
- [1]
- DY Kim、A Saito、K Sasaki、T Nozaki、Plasma Sources Science and Technology、31(12)、124005、2022.
- [2]
- T Nozaki、DY Kim、X Chen、Japanese Journal of Applied Physics、 63(3)、030101、2024.
論文情報
- 掲載誌:
- ACS Energy Letters
- 論文タイトル:
- Plasma-Catalyzed Sustainable Nanostructured Carbon Synthesis: Advancing Chemical-Looping CO2 Fixation
- 著者:
- Xiaozhong Chen、 Yuta Nishina、 Giichiro Uchida、 Tomohiro Nozaki
研究者プロフィール
野崎 智洋 Tomohiro NOZAKI
東京科学大学 工学院 機械系 教授
研究分野:プラズマ化学、エネルギー工学、反応工学、熱工学
シャオゾン チェン Xiaozhong Chen
東京科学大学 工学院 機械系 博士研究員
研究分野:プラズマ化学、プラズマCVD・表面処理
関連リンク
取材申込み
科学技術振興機構 広報課
- Tel
- 03-5214-8404
- jstkoho@jst.go.jp
東京科学大学 総務企画部 広報課
- Tel
- 03-5734-2975
- Fax
- 03-5734-3661
- media@adm.isct.ac.jp