ルビジウムを含む初めての高酸化物イオン伝導体Rb5BiMo4O16を発見

2025年2月21日 公開

Rbの新しい用途と市場、低温動作・低コストな固体酸化物形燃料電池の開発に期待

ポイント

  • ルビジウム(Rb)を含み、酸化物イオン(O2−)伝導度が高い安定な材料としては初めてとなるモリブデン酸ルビジウムビスマスRb5BiMo4O16を発見。
  • 結晶構造の解析と第一原理分子動力学シミュレーションにより酸化物イオン伝導度が高い理由を解明。
  • Rbの新しい用途と市場、固体酸化物形燃料電池の動作温度の低温化とコスト削減につながると期待。

概要

東京科学大学(Science Tokyo) 理学院 化学系の八島正知教授、安井雄太大学院生(研究当時博士課程3年次)、城島一暁大学院生(研究当時修士課程2年次)、藤井孝太郎助教と高エネルギー加速器研究機構 物質構造科学研究所/J-PARCセンターの森一広教授の研究グループは、高い酸化物イオン伝導度[用語1]と高い安定性を示す材料群 Rb5BiMo4O16とRb5RMo4O16[用語2]Rは希土類)を発見しました(図1)。

酸化物イオン伝導体は固体酸化物形燃料電池(SOFCs)[用語3])などへの応用が期待されています。しかし、現在用いられている材料は動作温度が高く、製造コストや安定性の問題があるため、中低温(300~600℃)で高い伝導度と安定性を示す酸化物イオン伝導体が求められていました。また、Rb元素の新しい用途と市場が求められていますが、Rbを含む酸化物イオン伝導体の報告は殆どありませんでした。

本研究では、475組成のRb含有酸化物のコンピュータスクリーニング、試料合成、および結晶構造と輸送特性の評価を組み合わせた手法によって、パルミエライト型[用語4]Rb5BiMo4O16を発見し、高い酸化物イオン伝導度を持つことを明らかにしました。Rb5BiMo4O16はイットリア安定化ジルコニア(YSZ)の29倍に及ぶ高い酸化物イオン伝導度(300℃で0.14m S cm−1)を示しました。480℃以下での高いイオン伝導度は、結晶構造における大きな間隙によりイオン伝導の活性化エネルギーが低いことや、酸素原子の極めて大きな異方性熱振動とMoO4四面体の回転運動、酸素原子を挟んでいる陽イオン間距離が長いことが高い伝導性の原因と考えられます。また、Rb5RMo4O16材料も顕著な導電性を示すことを明らかにしました。

本研究成果は、2025年2月3日(現地時間)に国際学術誌「Chemistry of Materials」電子版に掲載されました。

  • 2024年10月1日に東京医科歯科大学と東京工業大学が統合し、東京科学大学(Science Tokyo)となりました。
図1. サイズが大きなRbを含む酸化物495個の結晶学データについて、コンピュータスクリーニングを行い、選定したパルミエライト型酸化物Rb5BiMo4O16試料を合成した。Rb5BiMo4O16は既存の材料YSZより高い酸化物イオン伝導度を示した。その原因は、MoO4の回転、酸素の大きな異方熱振動、MoO4の配列と酸化物イオンの拡散経路の形成、酸素原子を挟む陽イオン間距離が長いことにある。©著者ら(2025)

背景

酸化物イオン伝導体は、酸化物イオン(O2−)伝導を示す物質であり、固体酸化物形燃料電池(SOFCs)、酸素分離膜、触媒およびガスセンサーなどに幅広く応用できる材料として期待されています。現在SOFCs で使用されているイットリア安定化ジルコニア(YSZ)電解質は動作温度が高いことから(1,000〜700℃)、製作コストが高いうえに、高温での劣化のため長期にわたって使用できないという欠点がありました。そのため、中低温(300~600℃)で高い伝導度を示す酸化物イオン伝導体を探索する必要があります。また、代表的な固体電解質材料のYSZやストロンチウム(Sr)とマグネシウム(Mg)を添加したランタンガリウム酸塩LaGaO3(LSGM)では、陽イオンとして用いられる元素がイットリウム(Y)、ジルコニウム(Zr)、ランタン(La)、Sr、ガリウム(Ga)などに限られてきましたが、今まで検討されてこなかった新しいユニークな元素を含む固体電解質材料を開発することに価値があると考えられます。

そこで八島教授らの研究グループは、セシウム(Cs)、ゲルマニウム(Ge)、スズ(Sn)、亜鉛(Zn)などの、これまで活用されてこなかったさまざまな新しい元素を含む固体電解質の探索を行ってきました。特に本研究ではルビジウム(Rb)に着目しました。Rbは利用可能な陽イオンの中でCsに次いで2番目にサイズが大きいので、Rb含有酸化物の結晶構造におけるイオンの間隙が広く、酸化物イオンが移動するときのエネルギー障壁が低いと期待されます。そのため、酸化物イオン伝導の活性化エネルギーが低く、中低温で高い酸化物イオン伝導度を期待できます。それにもかかわらずRb含有酸化物における高い酸化物イオン伝導の報告はこれまでにありませんでした。すなわち酸化物イオン伝導性Rb含有酸化物は未開拓分野であると言えます。

研究成果

(1) 酸化物イオン伝導体Rb5BiMo4O16の高い電気伝導度と安定性

本研究の新材料探索のスキームを図2aに示します。その第1段階では、Rb含有酸化物の化学組成に関して、コンピュータによるスクリーニングを実施しました。無機結晶構造データベース(ICSD)に登録されている495個のRb含有酸化物の結晶学データを用いて結合原子価法[用語5]により一つのテスト酸化物イオンのエネルギーを計算し、酸化物イオンが移動するためのエネルギー障壁を見積もりました。その結果、図2bに示すようにパルミエライト型Rb5GdMo4O16のエネルギー障壁が0.24 eVと低いことが明らかとなりました。そこで本研究の新材料探索の第2段階では、Rb5GdMo4O16と同じパルミエライト型構造を持つ化合物も候補として検討しました。その結果、Rb5GdMo4O16におけるガドリニウム(Gd)をBiに置き換えたRb5BiMo4O16を選択しました。Bi含有酸化物は高い酸化物イオン伝導度を示す材料が多く知られており、Gdなどの希土類に比べてBiのサイズが大きく非共有電子対を持っているので、高い酸化物イオン伝導が期待されます。またMoを含む酸化物に関しても、高酸化物イオン伝導体が多く報告されています。

図2. (a)コンピュータスクリーニングと実験による新酸化物イオン伝導体の探索と実証のスキーム。(b)495個のRb含有化合物についての酸化物イオンが移動するためのエネルギー障壁Ebのヒストグラム。結合原子価に基づく一つのテスト酸化物イオンのエネルギーを計算してEbを見積もった。パルミエライト型Rb5GdMo4O16のエネルギー障壁0.24 eVが比較的低かった。©著者ら(2025)

本研究の新材料探索の第3段階では固相反応法によりRb5BiMo4O16試料を合成しました。そして探索の第4段階では試料の性質について種々の評価を行いました。その結果、Rb5BiMo4O16試料は菱面体単相であり、乾燥および湿潤雰囲気、室温~高温(522℃)で重量変化も無く、組成変化が無いことが分かりました。また、Rb5BiMo4O16は、高温CO2中、高温湿潤空気中、高温湿潤5%のH2を含むN2気流下、水中約21℃で保持してもX線回折図形がほとんど変わらないことから、化学的に安定であることが確かめられました。よって化学的安定性の観点から、Rb5BiMo4O16を固体酸化物形燃料電池の電解質として利用できることが分かりました。

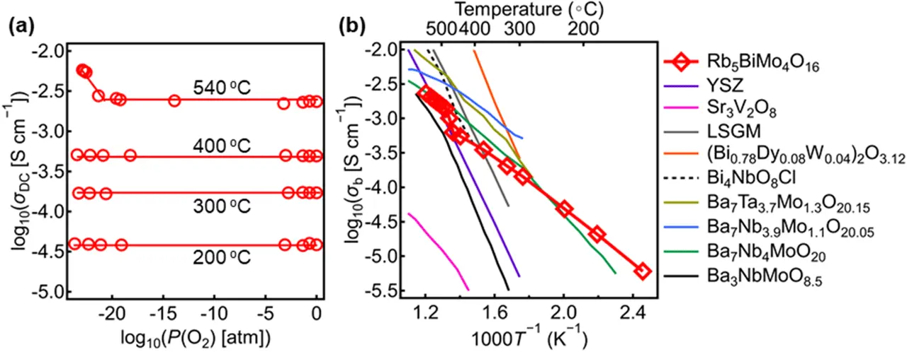
新材料探索の第5段階では輸送特性を評価しました。次の(1)~(3)の実験結果から、Rb5BiMo4O16は高い酸化物イオン伝導を示すことが分かりました。(1)酸素濃淡電池[用語6]を用いて酸素の輸率[用語6]を見積もりました。酸素濃淡電池のRb5BiMo4O16の片側が酸素でもう一方が空気の測定、および片側が1%のH2を含む N2でもう一方が空気の測定、いずれも酸素の輸率が1.00でした。(2)広い酸素分圧範囲(例えば200℃で2.1 × 10–24〜1気圧、400℃で3.6 × 10–24〜1気圧)で直流四端子法により測定した直流電気伝導度が酸素分圧に依らずほぼ一定であり、広い電解質領域と高い電気的化学的安定性を示しました(図3a)。これは酸化ビスマスなどの従来の材料に比べて非常に高い安定性です。(3)湿潤および乾燥雰囲気での直流電気伝導度がほぼ同じであり、有意なプロトン伝導は観察されませんでした。交流インピーダンス測定により求めたRb5BiMo4O16の全電気伝導度は高い値を示しました(例えば560℃で2.3 mΩ−1 cm−1)。図3bに示すように、Rb5BiMo4O16の全電気伝導度(赤の線とダイヤの記号)は517℃以下でYSZ(紫色の線)より高く、300℃では29倍高い値でした。また、Rb5BiMo4O16は300℃付近で酸化ビスマス固溶体(Bi0.78Dy0.08W0.04)2O3.12の伝導度(オレンジ色の線)に匹敵する高い伝導度を示しました。

図3.(a)直流四端子法で測定したRb5BiMo4O16の直流電気伝導度σDCの酸素分圧P(O2)依存性。広い電解質領域を示す。(b)交流インピーダンス測定で求めたRb5BiMo4O16の全電気伝導度と種々の酸化物イオン伝導体のバルク伝導度σbの比較。©著者ら(2025)

(2)Rb5BiMo4O16の高い酸化物イオン伝導度の構造的要因の解明

Rb5BiMo4O16が高い酸化物イオン伝導度を示す原因を解明するため、19℃から540℃の温度範囲で中性子回折実験[用語7]を行い、リートベルト法[用語8]により結晶構造を解析しました。その結果、Rb5BiMo4O16はMoを含み、酸素が欠損した立方最密充填c'層と2つの六方最密充填h層が 交互に積み重なった構造を持つことが明らかとなりました(図4a)。この構造は、MoO4四面体とRbとRb/Bi原子から成ると見なすこともできます。MoO4四面体は1つのMo原子を中心に置いた1つの頂点酸素と3つの側面酸素から構成されます(図5a)。解析した構造において、酸素原子が極端に大きな異方性熱振動を示すことが分かりました(図4a、5a)。この酸素原子の大きな変位は大きな熱振動を示しており、これが高い酸化物イオン伝導度の原因の一つであると考えられます。また、この酸素原子の変位の方向、第一原理分子動力学(AIMD)シミュレーション[用語9](図5)、結合原子価法により求めた酸化物イオンのエネルギー図(図4)などから、MoO4四面体の回転が生じていることが分かりました。この回転により、四面体内の酸化物イオンが四面体内を移動します。また、四面体間を酸化物イオンが移動することも、大きな酸素原子の変位の方向および結合原子価に基づいた酸化物イオンのエネルギー図(図4のオレンジの点線と赤の点線)から示唆されました。パルミエライト型構造ではMoO4四面体のユニークな配置により、MoO4四面体間の酸化物イオン移動が起こり、高酸化物イオン伝導性を発現すると考えられます。また、RbのサイズはSrより大きく、MoのサイズがVより大きいので、同じパルミエライト型構造を持つSr3V2O8(図3bのピンク色の線)に比べてRb5BiMo4O16(図3bの赤色の線とダイヤの記号)では酸化物イオンが移動するエネルギー障壁と酸化物イオン伝導度の活性化エネルギーが低く、そのため480℃以下の中低温で高い酸化物イオン伝導が生じると考察されました。

図4. 540℃におけるRb5BiMo4O16の結晶構造(a,b,d,e)とピンク色の酸化物イオンのエネルギー等値面(b,c,e,f)。赤い楕円体が頂点酸素、オレンジの楕円体が側面酸素、青い球がMo、緑色の楕円体がRb/Biである。薄い青の三角形がMoO4四面体。©著者ら(2025)
図5.(a)Rb5BiMo4O16の結晶構造解析で得たMoO4四面体と大きな酸素原子の変位。Rb5BiMo4O16の第一原理分子動力学計算で得た(b-d)スナップショットと(e)酸素の確率密度分布の等値面。 ©著者ら(2025)

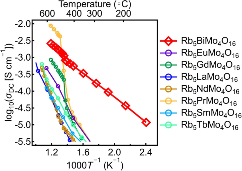
(3)Rb5RMo4O16の顕著な導電性

Rb5RMo4O16材料(R:ランタン(La)、プラセオジム(Pr)、ネオジム(Nd)、サマリウム(Sm)、ガドリニウム(Gd)、テルビウム(Tb)、ユーロピウム(Eu))を固相反応法により合成して、予備的な直流電気伝導度測定を行いました(図6)。その結果、顕著に高い電気伝導度を示すことが分かり、さまざまな化学組成を持つRb含有酸化物イオン伝導体が示唆されました。

図6. 乾燥空気中におけるさまざまなパルミエライト型酸化物の直流電気伝導度σDC ©著者ら(2025)

社会的インパクト

本研究で発見したRb5BiMo4O16は、Rb含有酸化物として初めての酸化物イオン伝導体であり、従来の実用材料であるイットリア安定化ジルコニア(YSZ)と比べて高い酸化物イオン伝導度を示します。これにより、Rb含有酸化物の酸化物イオン伝導体という新しいRbの用途と市場を切り拓く可能性を示しました。Rb含有酸化物材料を用いた高性能燃料電池など、電気化学デバイスへの道を切り開くことで、今後の脱炭素社会の取り組みに大きく貢献できると期待されます。

今後の展開

本研究グループでは今後、創製・発見した新しいパルミエライト型酸化物について元素置換を行い、酸化物イオン伝導度と安定性をさらに向上させることを検討しています。また、Rb5BiMo4O16を利用したSOFCsを実用化するためには、燃料電池の作製と評価を行う必要があります。そのためには、Rb5BiMo4O16に適した電極材料の開発を行うことが重要です。

付記

本研究の一部は、JSPS科学研究費助成事業 基盤研究(S)「Norbyギャップ内の高イオン伝導体の創製」(JP24H00041)、同 挑戦的研究(開拓)「本質的な酸素空孔層による新型プロトン・イオン伝導体の探索」(JP21K18182)、ASPIRE先端国際共同研究推進事業「イオン伝導性酸化物薄膜の製造とカーボンニュートラル化のための革新的な中温電解セル」(JPMJAP2308)、 JSPS科学研究費助成事業 基盤研究(C)「金属酸ハロゲン化物の新規酸化物イオン伝導体創出と構造科学」(JP23K04887)、JSPS科学研究費助成事業 学術変革領域研究(A)「構造解析による超セラミックスの機能発現メカニズム解明」(JP23H04618)、JST研究成果展開事業研究成果最適展開支援プログラム A-STEP 産学共同(JPMJTR22TC)、JSPS研究拠点形成事業(A.先端拠点形成型)「エネルギー変換を目指した複合アニオン国際研究拠点」等の助成を受けて行われました。

用語説明

[用語1]
酸化物イオン伝導度:外部電場を印加したとき酸化物イオン(O2−)が伝導する物質を酸化物イオン伝導体(酸素イオン伝導体とも)という。この酸化物イオンが伝導することによる電気伝導度を酸化物イオン伝導度という。酸化物イオン伝導体には、純酸化物イオン伝導体や酸化物イオン-電子混合伝導体などがある。
[用語2]
Rb5BiMo4O16とRb5RMo4O16:モリブデン酸ルビジウムビスマスRb5BiMo4O16はルビジウム(Rb)、ビスマス(Bi)、モリブデン(Mo)を含む酸化物。モリブデン酸ルビジウム希土類Rb5RMo4O16はルビジウム、希土類(R)、モリブデンを含む酸化物。本研究では希土類としてR:ランタン(La)、プラセオジム(Pr)、ネオジム(Nd)、サマリウム(Sm)、ユーロピウム(Eu)、ガドリニウム(Gd)、テルビウム(Tb)を用いた。
[用語3]
固体酸化物形燃料電池(SOFCs):電解質に固体を用いた燃料電池。電極や電解質を含め発電素子中に液体を使用せず、全て固体で構成される。高温で動作するため、白金などの高価な触媒が不要である。現在知られている燃料電池の形態では最も高い温度で稼働し、単独の発電装置としては最も発電効率が高い。SOFCs(Solid Oxide Fuel Cells)の固体電解質には、酸化物イオン伝導体が用いられている。
[用語4]
パルミエライト型構造:パルミエライト鉱物K2Pb(SO4)2が有する結晶構造。狭義のパルミエライト型構造は図4aに示すように、サイズが小さい陽イオン(SやMoやVなど)を含む、酸素が欠損した立方最密充填c'層と二つの六方最密充填h層が 交互に積み重なった構造を持つ。狭義のパルミエライト型構造の空間群はR3 ̅m、結晶系は三方晶系、ブラベー格子は菱面体格子である。さまざまな歪んだ構造を持つ広義のパルミエライト型構造あるいはパルミエライト類似構造が知られている。
[用語5]
結合原子価法:物質中の原子間距離と経験的なパラメータを使い、対象イオンの価数(酸化数)、構造の安定性やテストイオンのエネルギーを計算する方法。イオンが単位格子を横切って移動するときのエネルギー障壁も見積もることができる。単純な式で計算するため、数多くの化合物や組成に対するエネルギー障壁を計算し、新型イオン伝導体の候補をスクリーニングすることにも利用できる。
[用語6]
酸素濃淡電池酸素の輸率:酸素濃淡電池とは酸素分圧の差(酸素濃淡)によって起電力を生じる電池。この起電力を用いて、全電気伝導度σtotのうち酸化物イオン伝導度σO2-の割合(酸素の輸率)σO2-totを見積もることができる。
[用語7]
中性子回折実験:数~数十Åの周期で原子が規則的に配列する結晶は、X線や中性子によって回折現象を起こす。得られる回折データは結晶構造の情報を含んでおり、解析することで結晶内の原子配列などを明らかにすることができる。X線は電子により散乱されるので、重元素のコントラストが高い。一方、中性子では重元素と酸素などの軽元素の両方を含む物質における軽元素のコントラストが相対的に高いことが多いので、軽元素の原子の原子座標、占有率と原子変位パラメータを正確に決めることができる。原子変位パラメータにより異方性熱振動を調べることができる。本研究の中性子回折実験は、J-PARC(大強度陽子加速器施設)内の物質・生命科学実験施設(MLF)BL08 SuperHRPDにて行われた。
[用語8]
リートベルト法:粉末回折データを用いて、結晶学パラメータ(格子定数、原子座標、占有率、原子変位パラメータ等)を求める手法。
[用語9]
第一原理分子動力学(AIMD)シミュレーション:実験データなどの経験パラメータを用いずに、計算対象となる原子の種類と数と初期配置を用いて、量子力学に基づいて電子状態を計算することで、原子間に働く力を見積もり、物質における原子の運動や物質の性質を調べるシミュレーション。AIMDは Ab Initio Molecular Dynamicsの略。

論文情報

掲載誌:
Chemistry of Materials
タイトル:
High Oxide-Ion Conduction in Rb-Containing Oxides(Rb含有酸化物における高い酸化物イオン伝導)
著者:
Yuta Yasui(安井雄太)、Kazuaki Jojima(城島一暁)、Kotaro Fujii(藤井孝太郎)、 Kazuhiro Mori(森一広)、Masatomo Yashima* (八島正知、 *責任著者)

研究者プロフィール

八島正知 Masatomo YASHIMA

東京科学大学 理学院 化学系 教授
研究分野:材料科学、無機・分析化学、構造解析、新規イオン伝導体の探索と構造物性

藤井孝太郎 Kotaro FUJII

東京科学大学 理学院 化学系 助教
研究分野:物質科学、無機・分析化学、構造解析、新規イオン伝導体の探索と構造物性

森一広 Kazuhiro MORI

高エネルギー加速器研究機構 物質構造科学研究所 教授
研究分野:中性子散乱、材料科学

関連リンク

お問い合わせ

東京科学大学 理学院 化学系
教授 八島 正知

取材申込み

 

高エネルギー加速器研究機構

Email
press@kek.jp

 

J-PARCセンター 広報セクション

東京科学大学 総務企画部 広報課